【药物名称】Clopidogrel bisulfate, Clopidogrel hydrogensulfate, DV-7314, SR-25990C, Iscover, Plavix
化学结构式(Chemical Structure):
参考文献No.4162
标题:Novel thieno(3,2-c)pyridine derivs., process for their preparation and their application in therapy
作者:Aubert, D.; Ferrand, C.; Maffrand, J.-P. (Sanofi-Synth閘abo )
来源:EP 0099802; US 4529596
合成路线图解说明:

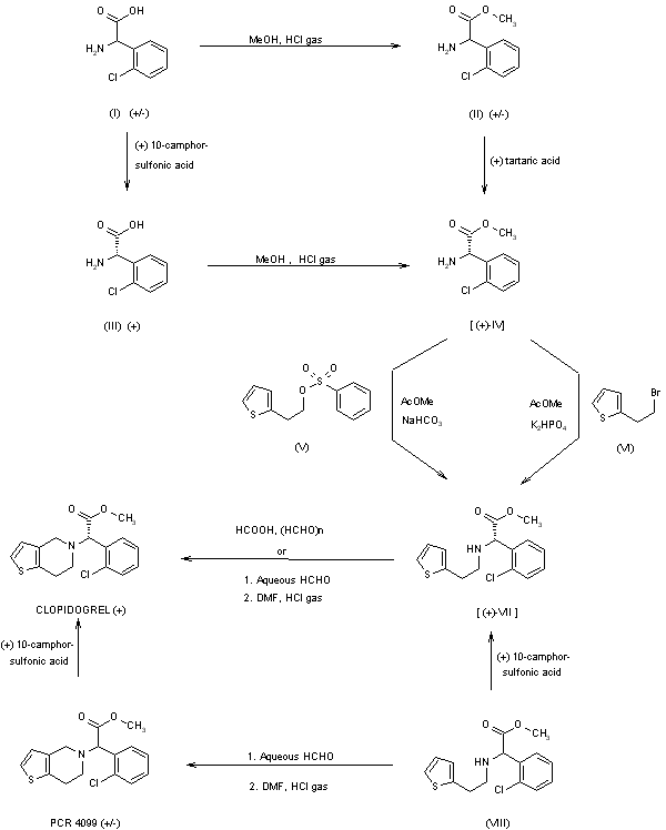
The title product can be obtained in several steps: 1) (+)-2-(2-Chlorophenyl)glycine methyl ester [(+)-IV] is prepared as follows: a) Racemic 2-(2-chlorophenyl)glycine (I) is methylated with methanol - HCl to the methyl ester (II), which is resolved with (+)-tartaric acid to the active ester [(+)-IV]. b) Racemic (I) is resolved with (+)-10-camphorsulfonic acid to (+)-2-(2-chlorophenyl)glycine [(+)-III], which is then esterified as before to [(+)-IV]. 2) (+)-2-(2-Chlorophenyl)-N-[2-(2-thienyl)ethyl]glycine methyl ester [(+)-VII] is prepared as follows: a) Alkylation of [(+)-IV] with 2-[2-(phenylsulfonyloxy)ethyl]thiophene (V) or with 2-(2-bromoethyl)thiophene (VI). b) Optical resolution of racemic alkylated glycine ester (VIII) with (+)-10-camphorsulfonic acid. 3) Finally, (+)-clopidogrel is prepared as follows: a) Cyclization of active [(+)-VII] with formaldehyde - formic acid and aqueous HCl. b) Cyclization of racemic (VIII) as before, yielding racemic clopidogrel (PCR-4099), followed by optical resolution with (+)-10-camphorsulfonic acid.

参考文献No.8956
标题:Dextrorotatory enantiomer of methyl alpha-(4,5,6,7-tetrahydrothieno[3,2-c]pyrid-5-yl)(2-chlorophenyl)acetate process for its preparation and pharmaceutical compsns. containing it
作者:Badorc, A.; Frehel, D. (Sanofi-Synth閘abo )
来源:AU 8811292; EP 0281459; FR 2612929; FR 2623810; JP 1988203684; US 4847265
合成路线图解说明:

The title product can be obtained in several steps: 1) (+)-2-(2-Chlorophenyl)glycine methyl ester [(+)-IV] is prepared as follows: a) Racemic 2-(2-chlorophenyl)glycine (I) is methylated with methanol - HCl to the methyl ester (II), which is resolved with (+)-tartaric acid to the active ester [(+)-IV]. b) Racemic (I) is resolved with (+)-10-camphorsulfonic acid to (+)-2-(2-chlorophenyl)glycine [(+)-III], which is then esterified as before to [(+)-IV]. 2) (+)-2-(2-Chlorophenyl)-N-[2-(2-thienyl)ethyl]glycine methyl ester [(+)-VII] is prepared as follows: a) Alkylation of [(+)-IV] with 2-[2-(phenylsulfonyloxy)ethyl]thiophene (V) or with 2-(2-bromoethyl)thiophene (VI). b) Optical resolution of racemic alkylated glycine ester (VIII) with (+)-10-camphorsulfonic acid. 3) Finally, (+)-clopidogrel is prepared as follows: a) Cyclization of active [(+)-VII] with formaldehyde - formic acid and aqueous HCl. b) Cyclization of racemic (VIII) as before, yielding racemic clopidogrel (PCR-4099), followed by optical resolution with (+)-10-camphorsulfonic acid.

参考文献No.56695
标题:Process for preparing clopidogrel
作者:Lohray, V.B.; Lohray, B.B.; Pandey, B. (Zydus-Cadila Group)
来源:WO 02059128
合成路线图解说明:

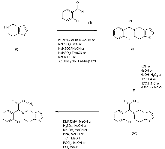
The condensation of 4,5,6,7-tetrahydrothieno[3,2-c]pyridine (I) with 2-chlorobenzaldehyde (II) by means of either KCN/HCl, KCN/AcOH, NaHSO3/KCN, NaHSO3 /NaCN, NaHSO3/Tms-CN, NaCN/HCl or AcOH/cyclo[(S)-His-(S)-Phe] and HCN purge gives 2-(2-chlorophenyl)-2-(4,5,6,7-tetrahydrothieno[3,2-c]pyridin-5-yl)acetonitrile (III), which is hydrolyzed to the corresponding acetamide (IV) by means of either KOH, NaOH, NaOH followed by H2O2, refluxing HCl/TFA, formic acid/HCl, refluxing HBr, refluxing H2SO4 or refluxing HClO4. Finally, compound (III) is converted into the corresponding methyl ester with MeOH and either dimethylformamide dimethylacetal, H2SO4, Ms-OH, PPA, TiCl4, POCl3 or HCl.

参考文献No.197445
标题:Clopidogrel Hydrogensulfate
作者:Savi, P.; Maffrand, J.P.; Defreyn, G.; Frehel, D.; Badorc, A.; Herbert, J.M.; Kieffer, G.; Bernat, A.; Delebassee, D.
来源:Drugs Fut 1993,18(2),107
合成路线图解说明:

The title product can be obtained in several steps: 1) (+)-2-(2-Chlorophenyl)glycine methyl ester [(+)-IV] is prepared as follows: a) Racemic 2-(2-chlorophenyl)glycine (I) is methylated with methanol - HCl to the methyl ester (II), which is resolved with (+)-tartaric acid to the active ester [(+)-IV]. b) Racemic (I) is resolved with (+)-10-camphorsulfonic acid to (+)-2-(2-chlorophenyl)glycine [(+)-III], which is then esterified as before to [(+)-IV]. 2) (+)-2-(2-Chlorophenyl)-N-[2-(2-thienyl)ethyl]glycine methyl ester [(+)-VII] is prepared as follows: a) Alkylation of [(+)-IV] with 2-[2-(phenylsulfonyloxy)ethyl]thiophene (V) or with 2-(2-bromoethyl)thiophene (VI). b) Optical resolution of racemic alkylated glycine ester (VIII) with (+)-10-camphorsulfonic acid. 3) Finally, (+)-clopidogrel is prepared as follows: a) Cyclization of active [(+)-VII] with formaldehyde - formic acid and aqueous HCl. b) Cyclization of racemic (VIII) as before, yielding racemic clopidogrel (PCR-4099), followed by optical resolution with (+)-10-camphorsulfonic acid.

参考文献No.589472
标题:Ortho-metalation/chlorination of benzoic acid derivatives: Preparation of [benzene-U-C-13]-rac-clopidogrel ([benzene-U-C-13]-rac-SR25990C)
作者:Burgos, A.; Simpson, I.; Herbert, J.M.
来源:J Label Compd Radiopharm 2000,43(9),891
合成路线图解说明:

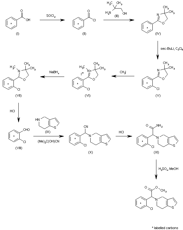
The reaction of [benzene-U-13C]benzoic acid (I) with SOCl2 gives the corresponding acyl chloride (II), which is cyclized with the ethanolamine (III) to yield the oxazoline (IV).The chlorination of (IV) with sec-BuLi and hexachloroethane in toluene affords the 2-chlorophenyl derivative (V), which is methylated with MeI to provide the oxazolinium salt (VI). The reduction of (VI) with NaBH4 in ethanol yields the oxazolidine (VII), which is hydrolyzed with HCl to afford the labeled 2-chlorobenzaldehyde (VIII). The condensation of aldehyde (VIII) with the tetrahydrothienopyridine (IX) by means of acetone cyanohydrine in hot toluene affords the substituted acetonitrile (X), which is hydrolyzed to the substituted acetamide (XI) with HCl in methanol. Finally, this compound is treated with H2SO4 in refluxing methanol to afford the target labeled methyl ester as a racemic mixture.

参考文献No.600587
标题:Formation of a novel acyl anion equivalent by the electroreduction of oxazolinium salts
作者:Kashimura, S.; Kuwata, F.; Ishige, O.; Uyama, H.; Shono, T.; Yamaguchi, Y.
来源:Chem Lett 1987,1511
合成路线图解说明:

The reaction of [benzene-U-13C]benzoic acid (I) with SOCl2 gives the corresponding acyl chloride (II), which is cyclized with the ethanolamine (III) to yield the oxazoline (IV).The chlorination of (IV) with sec-BuLi and hexachloroethane in toluene affords the 2-chlorophenyl derivative (V), which is methylated with MeI to provide the oxazolinium salt (VI). The reduction of (VI) with NaBH4 in ethanol yields the oxazolidine (VII), which is hydrolyzed with HCl to afford the labeled 2-chlorobenzaldehyde (VIII). The condensation of aldehyde (VIII) with the tetrahydrothienopyridine (IX) by means of acetone cyanohydrine in hot toluene affords the substituted acetonitrile (X), which is hydrolyzed to the substituted acetamide (XI) with HCl in methanol. Finally, this compound is treated with H2SO4 in refluxing methanol to afford the target labeled methyl ester as a racemic mixture.

参考文献No.900019
标题:Process for the preparation of an N-phenylacetic deriv. of tetrahydrothieno(3,2-c)pyridine and its intermediate of synthesis
作者:Descamps, M.; Radisson, J. (Sanofi)
来源:EP 0446569
合成路线图解说明:

The title product can be obtained in several steps: 1) (+)-2-(2-Chlorophenyl)glycine methyl ester [(+)-IV] is prepared as follows: a) Racemic 2-(2-chlorophenyl)glycine (I) is methylated with methanol - HCl to the methyl ester (II), which is resolved with (+)-tartaric acid to the active ester [(+)-IV]. b) Racemic (I) is resolved with (+)-10-camphorsulfonic acid to (+)-2-(2-chlorophenyl)glycine [(+)-III], which is then esterified as before to [(+)-IV]. 2) (+)-2-(2-Chlorophenyl)-N-[2-(2-thienyl)ethyl]glycine methyl ester [(+)-VII] is prepared as follows: a) Alkylation of [(+)-IV] with 2-[2-(phenylsulfonyloxy)ethyl]thiophene (V) or with 2-(2-bromoethyl)thiophene (VI). b) Optical resolution of racemic alkylated glycine ester (VIII) with (+)-10-camphorsulfonic acid. 3) Finally, (+)-clopidogrel is prepared as follows: a) Cyclization of active [(+)-VII] with formaldehyde - formic acid and aqueous HCl. b) Cyclization of racemic (VIII) as before, yielding racemic clopidogrel (PCR-4099), followed by optical resolution with (+)-10-camphorsulfonic acid.

Drug Information Express,Drug R&D,Chemical Database,Patent Search.
Copyright © 2006-2026 Drug Future. All rights reserved.Contact Us