【药物名称】Tulopafant, RP-59227, 59227-RP
化学结构式(Chemical Structure):
参考文献No.7502
标题:1H,3H-pyrrolo[1,2-c]thiazole derivs.
作者:(Aventis SA)
来源:EP 0253711; FR 2601015; JP 1988022589
合成路线图解说明:

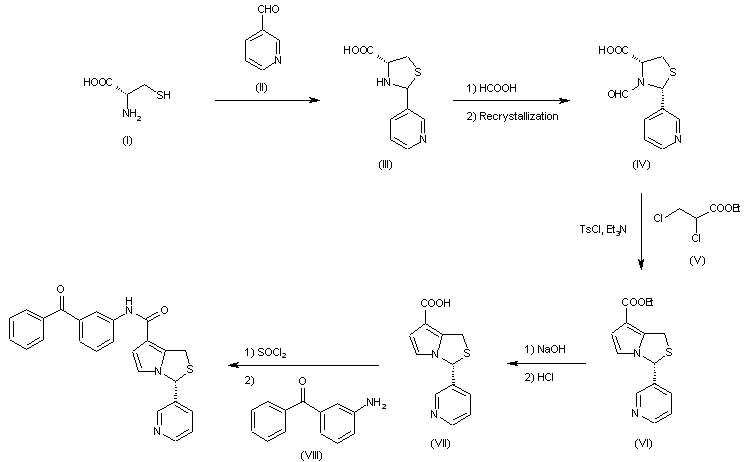
The cyclization of pyridine-3-carbaldehyde (II) with L-cysteine (I) in ethanol gives the thiazolidine derivative (III), which is treated with formic acid, yielding a diastereomeric mixture of formyl derivatives from which the desired (2R,4R)-(IV) is isolated by crystallization. The cyclization of (2R,4R)-(IV) with ethyl 2,3-dichloropropionate (V) by means of TsCl and Et3N affords (2R)-(3-pyridyl)-1H,3H-pyrrolo[1,2-c]thiazole-7-carboxylic acid ethyl ester (VI), which is hydrolyzed with NaOH to the corresponding free acid (VII). Finally, this compound is condensed with 3-aminobenzophenone (VIII) by means of SOCl2 to provide the target amide.

参考文献No.47872
标题:Process for the preparation of dextrorotatory 3-(3-pyridyl)-1H,3H-pyrrolo[1,2-c]-7-thiazolecarboxylic acid
作者:Rajoharison, H.G. (Aventis Pharma SA)
来源:EP 0297987; US 4906757
合成路线图解说明:

The cyclization of pyridine-3-carbaldehyde (II) with L-cysteine (I) in ethanol gives the thiazolidine derivative (III), which is treated with formic acid, yielding a diastereomeric mixture of formyl derivatives from which the desired (2R,4R)-(IV) is isolated by crystallization. The cyclization of (2R,4R)-(IV) with ethyl 2,3-dichloropropionate (V) by means of TsCl and Et3N affords (2R)-(3-pyridyl)-1H,3H-pyrrolo[1,2-c]thiazole-7-carboxylic acid ethyl ester (VI), which is hydrolyzed with NaOH to the corresponding free acid (VII). Finally, this compound is condensed with 3-aminobenzophenone (VIII) by means of SOCl2 to provide the target amide.

参考文献No.103410
标题:PYRROLO[1,2-c]THIAZOLE DERIVATIVES: POTENT PAF RECEPTOR ANTAGONISTS
作者:Lav? D.; James, C.; Rajoharison, H.; Bost, P.E.; Cavero, I.
来源:Drugs Fut 1989,14(9),891
合成路线图解说明:

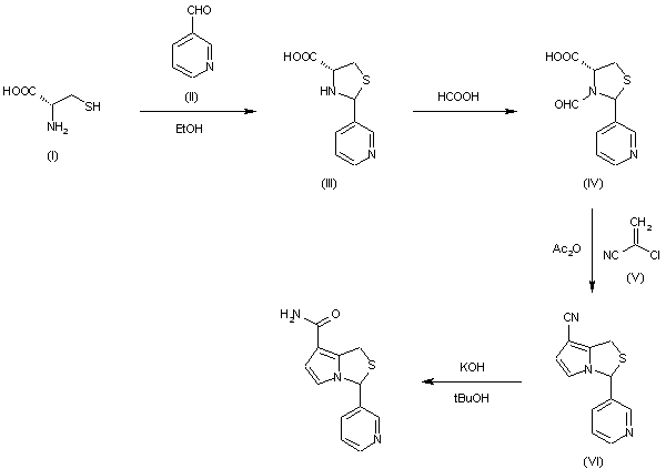
The cyclization of pyridine-3-carbaldehyde (II) with L-cysteine (I) in ethanol gives the thiazolidine derivative (III), which is treated with formic acid yielding the 3-formylthiazolidine derivative (IV). The cyclization of (IV) with 2-chloropropenenitrile (V) by means of acetic anhydride affords 3-(3-pyridil)-1H,3H-pyrrolo[1,2-c]thiazole-7-carbonitrile (VI), which is finally hydrolyzed to the target carboxamide by means of KOH in tert-butanol.

合成路线图解说明:

The cyclization of pyridine-3-carbaldehyde (II) with L-cysteine (I) in ethanol gives the thiazolidine derivative (III), which is treated with formic acid, yielding a diastereomeric mixture of formyl derivatives from which the desired (2R,4R)-(IV) is isolated by crystallization. The cyclization of (2R,4R)-(IV) with ethyl 2,3-dichloropropionate (V) by means of TsCl and Et3N affords (2R)-(3-pyridyl)-1H,3H-pyrrolo[1,2-c]thiazole-7-carboxylic acid ethyl ester (VI), which is hydrolyzed with NaOH to the corresponding free acid (VII). Finally, this compound is condensed with 3-aminobenzophenone (VIII) by means of SOCl2 to provide the target amide.

Drug Information Express,Drug R&D,Chemical Database,Patent Search.
Copyright © 2006-2026 Drug Future. All rights reserved.Contact Us