【药物名称】Guaimesal, ZAMI-635, Bronteril
化学结构式(Chemical Structure):
参考文献No.9140
标题:2,4-Dioxacyclohexanone deriv.
作者:Quadro, G. (Dr. Lo. Zambeletti SpA)
来源:BE 0890731; US 4358444
合成路线图解说明:

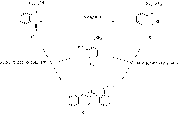
Acetylsalicylic acid (I) was converted to acid chloride (II) by refluxing in a SOCl2 solution. Condensation of acid chloride (II) with guaiacol (III) either in the absence or in the presence of tertiary amines gave rise to the target orthoester derivative. Alternatively, the title compound has been prepared by treatment of acetylsalicylic acid (I) with several acid anhydrides, followed by guaiacol (III).

参考文献No.58256
标题:Preparation of 3-methyl-3-(O-methoxyphenoxy)benzo-2,4-dioxacycloheanone
作者:Beck, C.
来源:GB 2101127
合成路线图解说明:

Acetylsalicylic acid (I) was converted to acid chloride (II) by refluxing in a SOCl2 solution. Condensation of acid chloride (II) with guaiacol (III) either in the absence or in the presence of tertiary amines gave rise to the target orthoester derivative. Alternatively, the title compound has been prepared by treatment of acetylsalicylic acid (I) with several acid anhydrides, followed by guaiacol (III).

参考文献No.702461
标题:Aspirin prodrugs: 2-Methyl-2-aryloxy-4H-1,3-benzodioxin-4-ones acting as true aspirin prodrugs
作者:Hundewadt, M.; Senning, A.
来源:Acta Chem Scand 1990,44(7),746
合成路线图解说明:

Acetylsalicylic acid (I) was converted to acid chloride (II) by refluxing in a SOCl2 solution. Condensation of acid chloride (II) with guaiacol (III) either in the absence or in the presence of tertiary amines gave rise to the target orthoester derivative. Alternatively, the title compound has been prepared by treatment of acetylsalicylic acid (I) with several acid anhydrides, followed by guaiacol (III).

Drug Information Express,Drug R&D,Chemical Database,Patent Search.
Copyright © 2006-2026 Drug Future. All rights reserved.Contact Us