【药物名称】Cefprenam, Cefluprenam, E-1077
化学结构式(Chemical Structure):
参考文献No.8123
标题:3-Propenylcephem derivs., preparation thereof, chemical intermediates therein, pharmaceutical compsn. and use
作者:Kamiya, T.; Naito, T.; Negi, S.; Komatu, Y.; Kai, Y.; Nakamura, T.; Sugiyama, I.; Machida, Y.; Nomoto, S.; Kitoh, K.; Katsu, K.; Yamauchi, H. (Eisai Co., Ltd.)
来源:AU 8779577; EP 0264091; JP 1989156983; JP 1989156984; US 4921850; US 5089491
合成路线图解说明:

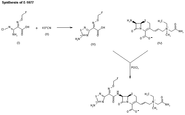
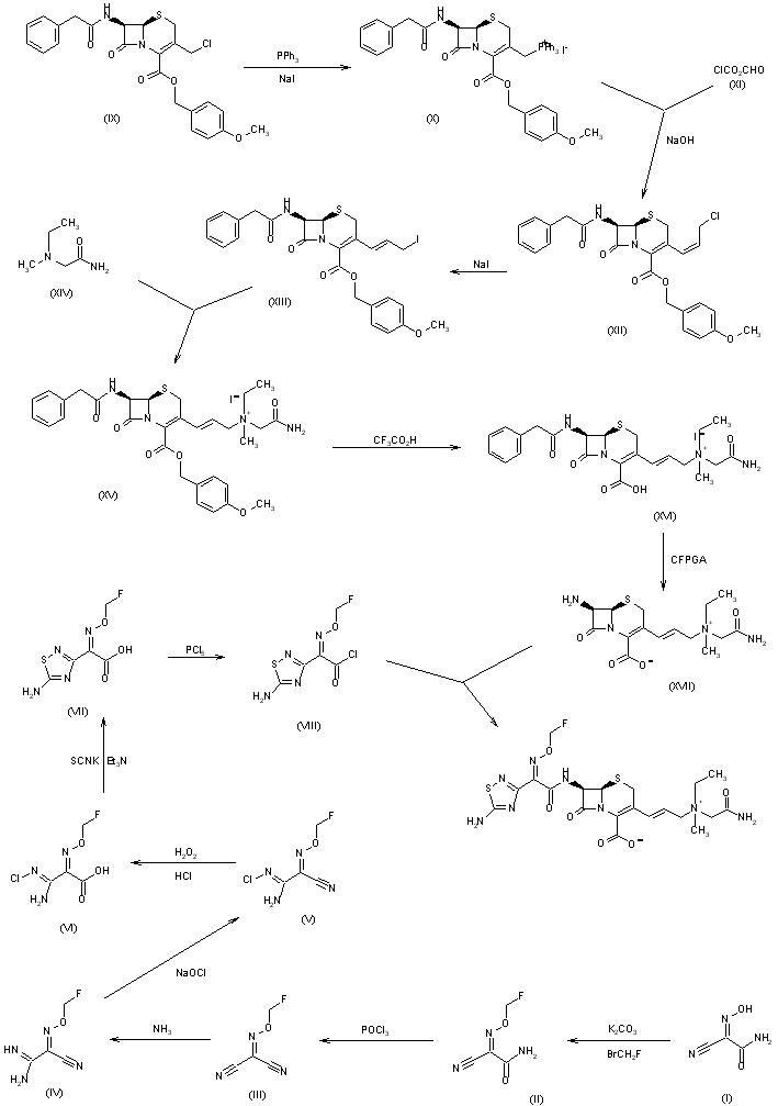
This compound can be obtained by two related ways: A) By condensation of 2-(5-amino-1,2,4-thiadiazol-3-yl)-2(Z)-(fluoromethoxyimino)acetyl chloride (VIII) with (6R,7R)-7-amino-3-[3-[N-(carbamoylmethyl)-N-ethyl-N-methylammonio]- 1(E)-propenyl]-3-cephem-4-carboxylate (XVII) by means of sodium acetate in methanol - water. The starting products (VIII) and (XVIII) are obtained as follows: 1) The reaction of 2-cyano-2-(hydroxyimino)acetamide (I) with bromofluoromethane by means of K2CO3 in DMSO - DMF gives 2-cyano-2-(fluoromethoxyimino)acetamide (II), which is dehydrated with refluxing POCl3 to yield 2-(fluoromethoxyimino)propanedinitrile (III). The amonolysis of (III) with aqueous NH3 and ethanol affords 2-cyano-2-(fluoromethoxyimino)acetamidine (IV), which is chlorinated with aqueous NaOCl in methanol - ether giving 2-(N2-chloroamidino)-2-(fluoromethoxyimino)acetonitrile (V). The hydrolysis of (V) with H2O2 and HCl in water yields 2-(N2-chloroamidino)-2-(fluoromethoxyimino)acetic acid (VI), which is cyclized with potassium thiocyanate by means of triethylamine in methanol to afford 2-(5-amino-1,2,4-thiadiazol-3-yl)-2(Z)-fluoromethoxyimino)acetic acid (VII). Finally, this compound is converted into the desired acyl chloride (VIII) by reaction with PCl5 in dichloromethane. 2) The reaction of 3-(chloromethyl)-7beta-(2-phenylacetamido)-3-cephem-4-carboxylic acid 4-methoxybenzyl ester (IX) with triphenylphosphine and sodium iodide in acetone gives the corresponding phosphonium salt (X), which is condensed with chloroacetaldehyde (XI) to yield the 3-chloropropenyl derivative (XII). The reaction of (XII) with NaI in dry acetone affords the corresponding iodo derivative (XIII), which is condensed with N-ethyl-N-methylglycinamide (XIV) to give 3-[3-[N-(carbamoylmethyl)-N-ethyl-N-methylammonio]-1(E)-propenyl]-7beta-(phenylacetamido)-3-cephem-4-carboxylic acid 4-methoxybenzyl ester iodide (XV). The partial hydrolysis of (XV) with trifluoroacetic acid in anisole yields the inner salt (XVI), which is treated with Carrier-Fixed-Penicillin G Amidase in water at pH 7.5-8.0 to obtain the desired 7-amino derivative (XVII).

参考文献No.133159
标题:Synthesis and structure-activity relationships of fluoromethoxyimino containing cephems; E1077, a novel parenteral cephem
作者:Naito, T.; Kai, Y.; Kamiya, T.; et al.
来源:30th Intersci Conf Antimicrob Agents Chemother (Oct 21-24, Atlanta) 1990,Abst 447
合成路线图解说明:

B) The reaction of 2-(hydroxyimino)-2-[5-(triphenylmethylamino)-1,2,4-thiadiazol-3-yl]acetic acid ethyl ester (XVIII) with bromofluoromethane and K2CO3 gives the corresponding fluoromethyl derivative (XIX), which is hydrolyzed with NaOH in ethanol - water to the corresponding acetic acid (XX). The reaction of (XX) with POCl3 in THF affords the corresponding acyl chloride (XXI), which is condensed with 7-amino-3-[3-chloro-1(Z)-propenyl]-3-cephem-4-carboxylic acid 4-methoxybenzyl ester (XXII) to afford the 7-acetamido-cephem compound (XXIII). The reaction of (XXIII) with NaI in refluxing acetone gives the corresponding iodopropenyl derivative (XXIV), which is finally condensed with N-ethyl-N-methylglycinamide (XIV) and deprotected with trifluoroacetic acid in anisole.

参考文献No.179265
标题:E-1077
作者:Prous, J.; Casta馿r, J.
来源:Drugs Fut 1992,17(7),543
合成路线图解说明:

This compound can be obtained by two related ways: A) By condensation of 2-(5-amino-1,2,4-thiadiazol-3-yl)-2(Z)-(fluoromethoxyimino)acetyl chloride (VIII) with (6R,7R)-7-amino-3-[3-[N-(carbamoylmethyl)-N-ethyl-N-methylammonio]- 1(E)-propenyl]-3-cephem-4-carboxylate (XVII) by means of sodium acetate in methanol - water. The starting products (VIII) and (XVIII) are obtained as follows: 1) The reaction of 2-cyano-2-(hydroxyimino)acetamide (I) with bromofluoromethane by means of K2CO3 in DMSO - DMF gives 2-cyano-2-(fluoromethoxyimino)acetamide (II), which is dehydrated with refluxing POCl3 to yield 2-(fluoromethoxyimino)propanedinitrile (III). The amonolysis of (III) with aqueous NH3 and ethanol affords 2-cyano-2-(fluoromethoxyimino)acetamidine (IV), which is chlorinated with aqueous NaOCl in methanol - ether giving 2-(N2-chloroamidino)-2-(fluoromethoxyimino)acetonitrile (V). The hydrolysis of (V) with H2O2 and HCl in water yields 2-(N2-chloroamidino)-2-(fluoromethoxyimino)acetic acid (VI), which is cyclized with potassium thiocyanate by means of triethylamine in methanol to afford 2-(5-amino-1,2,4-thiadiazol-3-yl)-2(Z)-fluoromethoxyimino)acetic acid (VII). Finally, this compound is converted into the desired acyl chloride (VIII) by reaction with PCl5 in dichloromethane. 2) The reaction of 3-(chloromethyl)-7beta-(2-phenylacetamido)-3-cephem-4-carboxylic acid 4-methoxybenzyl ester (IX) with triphenylphosphine and sodium iodide in acetone gives the corresponding phosphonium salt (X), which is condensed with chloroacetaldehyde (XI) to yield the 3-chloropropenyl derivative (XII). The reaction of (XII) with NaI in dry acetone affords the corresponding iodo derivative (XIII), which is condensed with N-ethyl-N-methylglycinamide (XIV) to give 3-[3-[N-(carbamoylmethyl)-N-ethyl-N-methylammonio]-1(E)-propenyl]-7beta-(phenylacetamido)-3-cephem-4-carboxylic acid 4-methoxybenzyl ester iodide (XV). The partial hydrolysis of (XV) with trifluoroacetic acid in anisole yields the inner salt (XVI), which is treated with Carrier-Fixed-Penicillin G Amidase in water at pH 7.5-8.0 to obtain the desired 7-amino derivative (XVII).

合成路线图解说明:

B) The reaction of 2-(hydroxyimino)-2-[5-(triphenylmethylamino)-1,2,4-thiadiazol-3-yl]acetic acid ethyl ester (XVIII) with bromofluoromethane and K2CO3 gives the corresponding fluoromethyl derivative (XIX), which is hydrolyzed with NaOH in ethanol - water to the corresponding acetic acid (XX). The reaction of (XX) with POCl3 in THF affords the corresponding acyl chloride (XXI), which is condensed with 7-amino-3-[3-chloro-1(Z)-propenyl]-3-cephem-4-carboxylic acid 4-methoxybenzyl ester (XXII) to afford the 7-acetamido-cephem compound (XXIII). The reaction of (XXIII) with NaI in refluxing acetone gives the corresponding iodopropenyl derivative (XXIV), which is finally condensed with N-ethyl-N-methylglycinamide (XIV) and deprotected with trifluoroacetic acid in anisole.

参考文献No.281696
标题:Synthesis of [C-14]E1077, a novel parenteral cephalosporin antibiotic
作者:Kai, Y.; Chiku, S.
来源:J Label Compd Radiopharm 1994,34(11),1069
合成路线图解说明:

The synthesis of [14C]-labeled E-1077 has been described: The cyclization of 2-(N-chloroamidino)-2(Z)-(fluoromethoxyimino)acetic acid (I) with [14C]-potassium thiocyanate (II) in methanol gives labeled 2-(5-amino-1,2,4-thiadiazol-3-yl)-2(Z)-(fluoromethoxyimino)acetic acid (III), which is then condensed with (6R,7R)-7-amino-3-[3-[N-(carbamoylmethyl)-N-ethyl-N-methylammonium]-1(E)-propenyl]-3-cephem-4-carboxylate (IV) by means of POCl3 in DMF.

参考文献No.297021
标题:Synthesis of C-14-labelled cefluprenam (E1077), a novel parenteral cephalosporin antibiotic
作者:Sato, N.; Kai, Y.; Shemilt, G.I.; Chiku, S.
来源:J Label Compd Radiopharm 1995,36(2),173
合成路线图解说明:

The synthesis of [14C]-labeled cefluprenam has been described: The condensation of methyl ethylamine (I) with aqueous formaldehyde (II) and [14C]-labeled potassium cyanide (III) by means of HCl gives labeled 2-(N-ethyl-N-methylamino)acetonitrile (IV), which by partial hydrolysis with concentrated H2SO4 is converted to the acetamide (V). Finally, this compound is condensed with (6R,7R)-7-[2-(5-amino-1,2,4-thiadiazol-3-yl)-2(Z)-(fluoromethoxyimino)a cetamido]-3-[3-chloro-1(E)-propenyl]-3-cephem-4-carboxylic acid 4-methoxybenzyl ester (VI) by means of NaI in DMF, and deprotected with trifluoroacetic acid-anisole.

Drug Information Express,Drug R&D,Chemical Database,Patent Search.
Copyright © 2006-2026 Drug Future. All rights reserved.Contact Us