【药物名称】Cidofovir, GS-0504, GS-504, HPMPC, Forvade, Vistide
化学结构式(Chemical Structure):
参考文献No.7620
标题:N-Phosphonylmethoxyalkyl derivs. of pyrimidine and urine bases, methods for their preparation and pharmaceutical compsns. therefrom with antiviral activity
作者:Holy, A.; Rosenberg, I.; De Clercq, E. (Czech Academy of Sciences; Rega Institute for Medical Research)
来源:EP 0253412; JP 1988045289; US 5142051; US 5869467
合成路线图解说明:

1) The reaction of 1-[2(S),3-dihydroxypropyl]cytosine (I) with chloromethylphosphoryl dichloride (II) in triethyl phosphate, followed by hydrolysis with boiling water gives the chloromethylphosphonate (III), which is then isomerized with aqueous NaOH at 80 C.

参考文献No.94201
标题:Synthesis and antiherpesvirus activity of (S)-1-((3-hydroxy-2-phosphonylmethoxy)propyl)cytosine (HPMPC) and related nucleotide analogues
作者:Martin, J.C.; Bronson, J.J.; Webb, R.R. II, Hitchcock, M.J.M.; Ghazzouli, I.
来源:Nucleosides Nucleotides 1989,8(5-6),923-6
合成路线图解说明:

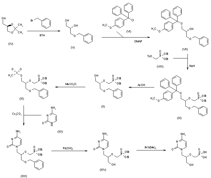
2) The reaction of 2(R),3-O-isopropylideneglycerol (IV) with benzyl bromide by means of benzyltriethylammonium bromide (BTA) in refluxing aqueous NaOH gives (S)-3-O-benzylglycerol (V), which is monotritylated with 4-methoxytriphenylmethyl chloride (VI) and dimethylaminopyridine (DMAP) yielding the secondary alcohol (VII). The condensation of (VII) with diethyl tosyloxymethylphosphonate (VIII) by means of NaH in THF affords the fully protected phosphorylmethoxy derivative (IX), which is detritylated by treatment with aqueous acetic acid at 100 C to give 3-benzyloxy-2(S)-(diethoxyphosphorylmethoxy)-1-propanol (X). The reaction of (X) with methanesulfonyl chloride and triethylamine in dichloromethane yields the corresponding mesylate (XI), which is condensed with cytosine (XII) by means of cesium carbonate in hot DMF affording 1-[3-benzyloxy-2(S)-(diethoxyphosphorylmethoxy)propyl]cytosine (XIII). The debenzylation of (XIII) by treatment with Pd(OH)2 on carbon in refluxing ethanol/cyclohexene gives the corresponding alcohol (XIV), which is finally treated with bromotrimethylsilane in acetonitrile to eliminate the ethyl groups of the phosphonate.

参考文献No.98582
标题:Synthesis and antiviral activity of the nucleotide analogue (S)-1-[3-hydroxy-2-(phosphonylmethoxy)propyl]cytosine
作者:Bronson, J.J.; Ghazzouli, I.; Hitchcock, M.J.M.; Webb, R.R. II, Martin, J.C.
来源:J Med Chem 1989,32(7),1457-63
合成路线图解说明:

2) The reaction of 2(R),3-O-isopropylideneglycerol (IV) with benzyl bromide by means of benzyltriethylammonium bromide (BTA) in refluxing aqueous NaOH gives (S)-3-O-benzylglycerol (V), which is monotritylated with 4-methoxytriphenylmethyl chloride (VI) and dimethylaminopyridine (DMAP) yielding the secondary alcohol (VII). The condensation of (VII) with diethyl tosyloxymethylphosphonate (VIII) by means of NaH in THF affords the fully protected phosphorylmethoxy derivative (IX), which is detritylated by treatment with aqueous acetic acid at 100 C to give 3-benzyloxy-2(S)-(diethoxyphosphorylmethoxy)-1-propanol (X). The reaction of (X) with methanesulfonyl chloride and triethylamine in dichloromethane yields the corresponding mesylate (XI), which is condensed with cytosine (XII) by means of cesium carbonate in hot DMF affording 1-[3-benzyloxy-2(S)-(diethoxyphosphorylmethoxy)propyl]cytosine (XIII). The debenzylation of (XIII) by treatment with Pd(OH)2 on carbon in refluxing ethanol/cyclohexene gives the corresponding alcohol (XIV), which is finally treated with bromotrimethylsilane in acetonitrile to eliminate the ethyl groups of the phosphonate.

参考文献No.139198
标题:A new synthesis of the potent and selective anti-herpesvirus agent (S)-1-[3-hydroxy-2-(phosphonylmethoxy)propyl]cytosine
作者:Bronson, J.J.; Ferrara, L.M.; Howell, H.G.; Brodfuehrer, P.R.; Martin, J.C.
来源:Nucleosides Nucleotides 1990,9(6),745-69
合成路线图解说明:

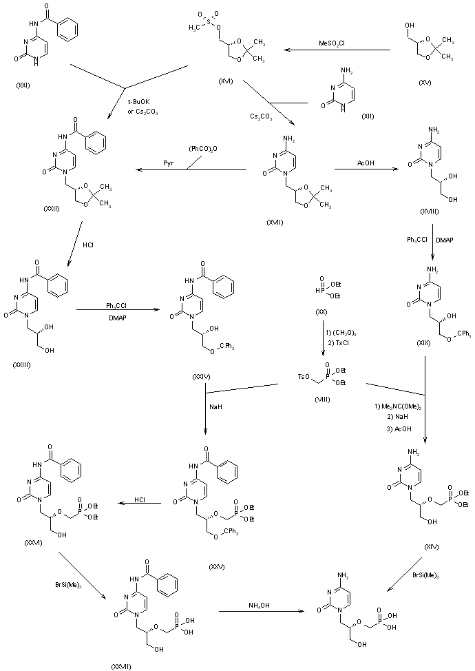
3) The reaction of 2(S),3-O-isopropylideneglycerol (XV) with methanesulfonyl chloride and triethylamine in dichloromethane gives the corresponding mesylate (XVI), which is condensed with cytosine (XII) by means of cesium carbonate as before yielding 1-[2(S),3-(isopropylidenedioxy)propyl]cytosine (XVII). The deprotection of (XVII) with aqueous acetic acid at 100 C affords the corresponding diol (XVIII), which is treated with trityl chloride, DMAP and triethylamine in DMF to give the monotrityl compound (XIX). The condensation of (XIX) with diethyl tosyloxymethylphosphonate (VIII) [obtained by reaction of diethylphosphite (XX) with paraformaldehyde, followed by tosylation with tosyl chloride] by a previous treatment of (XX) with DMF dimethylacetal, then condensation by means of NaH in DMF, and a final hydrolysis with hot aqueous acetic acid yields the 1-[2(S)-(diethoxyphosphorylmethoxy)-3-hydroxypropyl]cytosine (XIV) (already obtained), which is finally treated with bromotrimethylsilane as before. 4) The reaction of the acetonide (XVI) with N4-benzoylcytosine (XXI) by means of potassium tert-butoxide or cesium carbonate gives the condensation product (XXII), which is deprotected with HCl in acetic acid yielding the diol (XXIII). The reaction of (XXIII) with trityl chloride and DMAP in refluxing pyridine affords the monotritylated compound (XXIV), which is condensed with the phosphonate (VIII) by means of NaH in DMF to give the fully protected HPMPC compound (XXV). The successive deprotections of (XXV), first with HCl in dichloromethane to eliminate the trityl group yielding (XXVI), then with bromotrimethylsilane to obtain the free phosphono group giving (XXVII), and finally with concentrated aqueous NH4OH to eliminate the benzoyl group affords cidofovir. 5) The benzoylation of acetonide derivative (XVII) with benzoyl anhydride in refluxing pyridine gives the benzoyl citosine derivative (XXII) already obtained.

参考文献No.378249
标题:Cidofovir
作者:Fromtling, R.A.; Casta馿r, J.
来源:Drugs Fut 1996,21(10),1003
合成路线图解说明:

1) The reaction of 1-[2(S),3-dihydroxypropyl]cytosine (I) with chloromethylphosphoryl dichloride (II) in triethyl phosphate, followed by hydrolysis with boiling water gives the chloromethylphosphonate (III), which is then isomerized with aqueous NaOH at 80 C.

合成路线图解说明:

2) The reaction of 2(R),3-O-isopropylideneglycerol (IV) with benzyl bromide by means of benzyltriethylammonium bromide (BTA) in refluxing aqueous NaOH gives (S)-3-O-benzylglycerol (V), which is monotritylated with 4-methoxytriphenylmethyl chloride (VI) and dimethylaminopyridine (DMAP) yielding the secondary alcohol (VII). The condensation of (VII) with diethyl tosyloxymethylphosphonate (VIII) by means of NaH in THF affords the fully protected phosphorylmethoxy derivative (IX), which is detritylated by treatment with aqueous acetic acid at 100 C to give 3-benzyloxy-2(S)-(diethoxyphosphorylmethoxy)-1-propanol (X). The reaction of (X) with methanesulfonyl chloride and triethylamine in dichloromethane yields the corresponding mesylate (XI), which is condensed with cytosine (XII) by means of cesium carbonate in hot DMF affording 1-[3-benzyloxy-2(S)-(diethoxyphosphorylmethoxy)propyl]cytosine (XIII). The debenzylation of (XIII) by treatment with Pd(OH)2 on carbon in refluxing ethanol/cyclohexene gives the corresponding alcohol (XIV), which is finally treated with bromotrimethylsilane in acetonitrile to eliminate the ethyl groups of the phosphonate.

合成路线图解说明:

3) The reaction of 2(S),3-O-isopropylideneglycerol (XV) with methanesulfonyl chloride and triethylamine in dichloromethane gives the corresponding mesylate (XVI), which is condensed with cytosine (XII) by means of cesium carbonate as before yielding 1-[2(S),3-(isopropylidenedioxy)propyl]cytosine (XVII). The deprotection of (XVII) with aqueous acetic acid at 100 C affords the corresponding diol (XVIII), which is treated with trityl chloride, DMAP and triethylamine in DMF to give the monotrityl compound (XIX). The condensation of (XIX) with diethyl tosyloxymethylphosphonate (VIII) [obtained by reaction of diethylphosphite (XX) with paraformaldehyde, followed by tosylation with tosyl chloride] by a previous treatment of (XX) with DMF dimethylacetal, then condensation by means of NaH in DMF, and a final hydrolysis with hot aqueous acetic acid yields the 1-[2(S)-(diethoxyphosphorylmethoxy)-3-hydroxypropyl]cytosine (XIV) (already obtained), which is finally treated with bromotrimethylsilane as before. 4) The reaction of the acetonide (XVI) with N4-benzoylcytosine (XXI) by means of potassium tert-butoxide or cesium carbonate gives the condensation product (XXII), which is deprotected with HCl in acetic acid yielding the diol (XXIII). The reaction of (XXIII) with trityl chloride and DMAP in refluxing pyridine affords the monotritylated compound (XXIV), which is condensed with the phosphonate (VIII) by means of NaH in DMF to give the fully protected HPMPC compound (XXV). The successive deprotections of (XXV), first with HCl in dichloromethane to eliminate the trityl group yielding (XXVI), then with bromotrimethylsilane to obtain the free phosphono group giving (XXVII), and finally with concentrated aqueous NH4OH to eliminate the benzoyl group affords cidofovir. 5) The benzoylation of acetonide derivative (XVII) with benzoyl anhydride in refluxing pyridine gives the benzoyl citosine derivative (XXII) already obtained.

参考文献No.800029
标题:Synthesis of (S)-N1-(3-hydroxy-2-phosphonylmethoxy)propylcytosine, (S)-HPMPC
作者:Martin, J.C.; Webb, R.R. II, Wos, J.A.; Bronson, J.J.
来源:Tetrahedron Lett 1988,295475-8
合成路线图解说明:

2) The reaction of 2(R),3-O-isopropylideneglycerol (IV) with benzyl bromide by means of benzyltriethylammonium bromide (BTA) in refluxing aqueous NaOH gives (S)-3-O-benzylglycerol (V), which is monotritylated with 4-methoxytriphenylmethyl chloride (VI) and dimethylaminopyridine (DMAP) yielding the secondary alcohol (VII). The condensation of (VII) with diethyl tosyloxymethylphosphonate (VIII) by means of NaH in THF affords the fully protected phosphorylmethoxy derivative (IX), which is detritylated by treatment with aqueous acetic acid at 100 C to give 3-benzyloxy-2(S)-(diethoxyphosphorylmethoxy)-1-propanol (X). The reaction of (X) with methanesulfonyl chloride and triethylamine in dichloromethane yields the corresponding mesylate (XI), which is condensed with cytosine (XII) by means of cesium carbonate in hot DMF affording 1-[3-benzyloxy-2(S)-(diethoxyphosphorylmethoxy)propyl]cytosine (XIII). The debenzylation of (XIII) by treatment with Pd(OH)2 on carbon in refluxing ethanol/cyclohexene gives the corresponding alcohol (XIV), which is finally treated with bromotrimethylsilane in acetonitrile to eliminate the ethyl groups of the phosphonate.

Drug Information Express,Drug R&D,Chemical Database,Patent Search.
Copyright © 2006-2026 Drug Future. All rights reserved.Contact Us