【药物名称】Tepoxalin, RWJ-20485, Orf-20485
化学结构式(Chemical Structure):
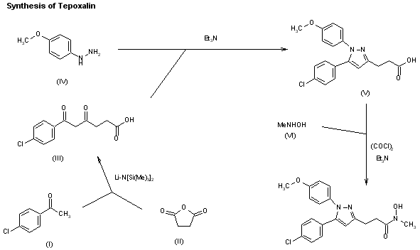
参考文献No.146541
标题:The regioselective synthesis of tepoxalin, 3-[5-(4-chlorophenyl)-1-(4-methoxyphenyl)-3-pyrazolyl]-N-hydroxy-N-methylpropanamide and related 1,5-diarylpyrazole antiinflammatory agents
作者:Forerokelly, Y.; Murray, W.; Wachter, M.; Barton, D.
来源:Synthesis 1991,1(1),18
合成路线图解说明:

A new synthesis of tepoxalin has been described: The condensation of 4-chloroacetophenone (I) with succinic anhydride (II) by means of lithium bis(trimethylsilyl)amide in THF at -20 C gives 6-(4-chlorophenyl)-4,6-dioxohexanoic acid (III), which is cyclized with 4-methoxyphenylhydrazine (IV) by means of triethylamine in methanol at room temperature to afford 3-[5-(4-chlorophenyl)-1-(4-methoxyphenyl)pyrazol-3-yl]propanoic acid (V); finally this compound is condensed with methylhydroxylamine (VI) by means of oxalyl chloride and triethylamine at room temperature.

参考文献No.218338
标题:A facile synthesis of tepoxalin, 5-(4-chlorophenyl)-N-hydroxy-1-(4-methoxyphenyl)-N-methyl-1H-pyrazole-3-propanamide
作者:Murray, W.V.; Hadden, S.K.
来源:J Org Chem 1992,57(24),6662
合成路线图解说明:

A new method for the synthesis of tepoxalin has been reported: The cyclization of 6-(4-chlorophenyl)-4,6-dioxohexanoic acid (I) with refluxing acetic anhydride gives 5-[2-(4-chlorophenyl)-2-oxoethylidene]tetrahydrofuran-2-one (II), which is treated with methylhydroxylamine to afford the corresponding N-hydroxy-N-methylamide (III). Finally, this compound is cyclized with 4-methoxyphenylhydroazine (IV) by means of Na2CO3 in refluxing ethanol.

Drug Information Express,Drug R&D,Chemical Database,Patent Search.
Copyright © 2006-2026 Drug Future. All rights reserved.Contact Us