【药物名称】Lobuprofen hydrochloride
化学结构式(Chemical Structure):
参考文献No.1853
标题:Novel phenylpiperazine derivs., process for prepar
作者:Alamo Gonzalez, C.; Carretero Colon, J.M.; Martin Jimenez, J.L. (Juste, SA Qu韒ico-Farmac閡tica)
来源:EP 0141884
合成路线图解说明:

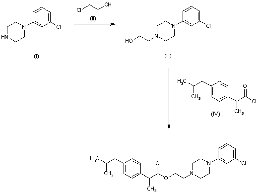
1) The condensation of a phenylpiperazine (I) with chloroethanol (II) gives compound (III) which, upon reaction with the acid chloride (IV), yields lobuprofen.

合成路线图解说明:

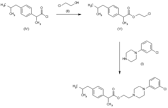
2) The acid chloride (IV) is reacted with chloroethanol to give compound (V), which, upon condensation with a piperazine (I), yields lobuprofen.

参考文献No.62393
标题:Lobuprofen hydrochloride
作者:Carretero, J.M.; Alamo, C.; Mart韓, J.L.
来源:Drugs Fut 1988,13(4),314
合成路线图解说明:

1) The condensation of a phenylpiperazine (I) with chloroethanol (II) gives compound (III) which, upon reaction with the acid chloride (IV), yields lobuprofen.

参考文献No.62397
标题:ONO-RS-411
作者:Prous, J.; Casta馿r, J.
来源:Drugs Fut 1988,13(4),317
合成路线图解说明:

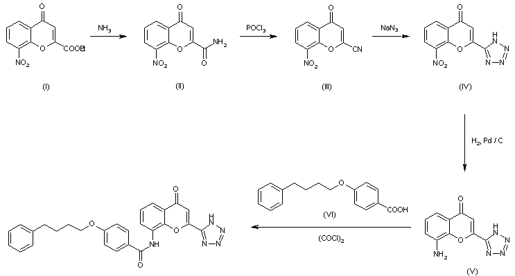
The reaction of ethyl 8-nitro-4-oxo-1-benzopyran-2-carboxylate (I) with ammonia in methanol gives the corresponding amide (II), which is dehydrated with POCl3 yielding 2-cyano-8-nitro-1-benzopyran-4-one (III). The cyclization of (III) with sodium azide by means of pyridinium chloride in hot DMF affords 8-nitro-2-(tetrazol-5-yl)-1-benzopyran-4-one (IV), which is hydrogenated with H2 over Pd/C in methanol - HCl giving 8-amino-2-(tetrazol-5-yl)-1-benzopyran-4-one (V). Finally, this compound is condensed with 4-(4-phenylbutoxy)benzoic acid (VI) by means of oxalyl chloride in dichloromethane-pyridine.

合成路线图解说明:

2) The acid chloride (IV) is reacted with chloroethanol to give compound (V), which, upon condensation with a piperazine (I), yields lobuprofen.

Drug Information Express,Drug R&D,Chemical Database,Patent Search.
Copyright © 2006-2026 Drug Future. All rights reserved.Contact Us