【药物名称】D-11208
化学结构式(Chemical Structure):
参考文献No.6661
标题:2-Amino-3-acylamino-6-benzylaminopyridine derivatives having antiepileptic action
作者:Bebengurg, W.; Engek, J.; Heese, J.; Thiele, K. (Degussa AG)
来源:DE 3337593
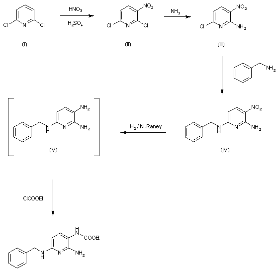
合成路线图解说明:

D 7175 can be obtained in a 5-step synthesis starting from 2,e-dichloropyridine (I). Compound (I) is nitrated with HNO3/H2SO4 yielding 2,6-dichloro-3-nitropyridine (II). Subsequent reaction with ammonia and benzylamine leads to 2-amino-3-nitro-6-benzylaminopyridine (IV), which is hydrogenated using Raney Nickel as catalyst te the corresponding 3-amino derivative (V), which reacts without isolation with ethyl chloroformiate to D-7175.

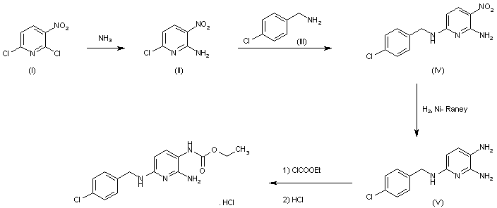
合成路线图解说明:

2,6-Dichloro-3-nitropyridine (I) reacts with ammonia and p-chlorobenzylamine (III) yielding 2-amino-3-nitro-6-(4-chlorobenzyl)aminopyridine (IV). D-9389 is obtained after hydrogenation and reaction with ethylchloroformate.

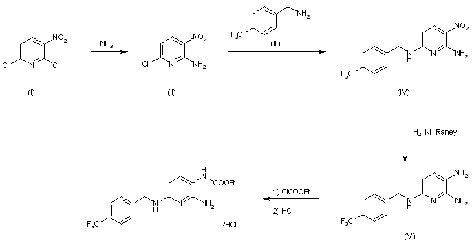
合成路线图解说明:

D-11208 is obtained in a five step synthesis: 2,6-Dichloro-3-nitropyridine (I) reacts with ammonia to give 2-amino-3-nitro-6-chloropyridine (II). Subsequent condensation with 4-trifluoromethyl benzylamine (III) yields 2-amino-3-nitro-6-(4-trifluoromethyl)aminopyridine (IV). Hydrogenation with Raney Nickel as catalyst and reaction with ethyl chloroformiate yields D-11208.

参考文献No.63041
标题:D-11208
作者:Engel, J.; Molli鑢e, M.; Emig, P.; Szelenyi, I.
来源:Drugs Fut 1988,13(9),817
合成路线图解说明:

D-11208 is obtained in a five step synthesis: 2,6-Dichloro-3-nitropyridine (I) reacts with ammonia to give 2-amino-3-nitro-6-chloropyridine (II). Subsequent condensation with 4-trifluoromethyl benzylamine (III) yields 2-amino-3-nitro-6-(4-trifluoromethyl)aminopyridine (IV). Hydrogenation with Raney Nickel as catalyst and reaction with ethyl chloroformiate yields D-11208.

Drug Information Express,Drug R&D,Chemical Database,Patent Search.
Copyright © 2006-2026 Drug Future. All rights reserved.Contact Us