【药物名称】SM-8849
化学结构式(Chemical Structure):
参考文献No.7384
标题:Aminazole derivatives and their production and use
作者:Ozato, Y.; Tamura, N.; Masumori, H.; Yamamoto, M.; Kojima, A.; Nishikakau, F.; Kimura, Y. (Sumitomo Pharmaceuticals Co., Ltd.)
来源:EP 0248399; JP 1988152368; JP 1993247014; US 4914112; US 5066666; US 5180731
合成路线图解说明:

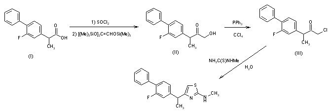
The reaction of 2-(2-fluorobiphenyl-4-yl)propionic acid (I) with thionyl chloride followed by treatment with tris (trimethylsilyloxy)ethylene gives 3-(2-fluorobiphenyl-4-yl)-1-hydroxy-2-butanone (II), which upon treatment with carbon tetrachloride and triphenylphosphine affords 1-chloro-3-(2-fluorobiphenyl-4-yl)-2-butanone (III). Finally, compound (III) is heated with N-methylthiourea in water.

参考文献No.245952
标题:SM-8849
作者:Prous, J.; Casta馿r, J.; Graul, A.
来源:Drugs Fut 1994,19(4),347
合成路线图解说明:

The reaction of 2-(2-fluorobiphenyl-4-yl)propionic acid (I) with thionyl chloride followed by treatment with tris (trimethylsilyloxy)ethylene gives 3-(2-fluorobiphenyl-4-yl)-1-hydroxy-2-butanone (II), which upon treatment with carbon tetrachloride and triphenylphosphine affords 1-chloro-3-(2-fluorobiphenyl-4-yl)-2-butanone (III). Finally, compound (III) is heated with N-methylthiourea in water.

Drug Information Express,Drug R&D,Chemical Database,Patent Search.
Copyright © 2006-2026 Drug Future. All rights reserved.Contact Us