【药物名称】Fluasterone, HE-2500, 8354
化学结构式(Chemical Structure):
参考文献No.7349
标题:Steroids useful as anti-cancer and anti-obesity agents, a therapeutic compsn. containing them and use thereof for the preparation of a therapeutic compsn.
作者:Lewbart, M.L.; Schwartz, A.G. (Research Corporation Technologies, Inc.)
来源:EP 0246650; JP 1987283993
合成路线图解说明:

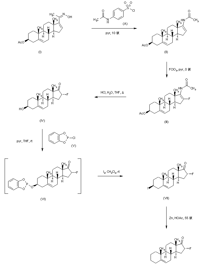
Beckmann rearrangement of oxime (I) in the presence of p-acetamidobenzenesulfonyl chloride and pyridine afforded acetamide (II). Subsequent fluorination of (II) using perchloryl fluoride produced fluoroenamide (III), which was hydrolyzed with HCl to give fluoroketone (IV). After treatmentof (IV) with o-phenylenephosphorochloridite (V) and pyridine, the intermediate phosphite ester (VI) was converted to iodide (VII) by means of iodine in CH2Cl2. Finally, reductive deiodination of (VI) with Zn in AcOH produced the target compound.

合成路线图解说明:

Dehydroepiandrosterone (VIII) was treated with o-phenylenephosphorochloridite (V) and then with iodine to afford iodide (IX), which was reduced to (X) by means of Zn and AcOH. Bromination of (X) with CuBr2 gave bromoketone (XI), and this was hydrolyzed to hydroxyketone (XII) upon treatment with aqueous NaOH in the presence of pyridine and oxygen. Subsequent treatment of (XII) with diethyl (2-chloro-1,1,2-trifluoroethyl)amine (XIII) afforded the target fluoroketone

参考文献No.38244
标题:17-Hydroxy-steroids
作者:Schwartz, A.G.; Lewbart, M.L.
来源:US 4898694
合成路线图解说明:

Beckmann rearrangement of oxime (I) in the presence of p-acetamidobenzenesulfonyl chloride and pyridine afforded acetamide (II). Subsequent fluorination of (II) using perchloryl fluoride produced fluoroenamide (III), which was hydrolyzed with HCl to give fluoroketone (IV). After treatmentof (IV) with o-phenylenephosphorochloridite (V) and pyridine, the intermediate phosphite ester (VI) was converted to iodide (VII) by means of iodine in CH2Cl2. Finally, reductive deiodination of (VI) with Zn in AcOH produced the target compound.

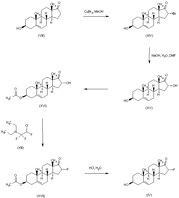
合成路线图解说明:

Dehydroepiandrosterone (VIII) was first brominated with CuBr2 to give bromoketone (XIV), which was hydrolyzed to hydroxyketone (XV). After protection of (XV) as the monoacetate (XVI), fluorination at position 16 by means of (2-chloro-1,1,2-trifluoroethyl)amine (XIII) afforded fluoroketone (XVII). Ester hydrolysis in (XVI) then gave intermediate (IV).

Drug Information Express,Drug R&D,Chemical Database,Patent Search.
Copyright © 2006-2026 Drug Future. All rights reserved.Contact Us