【药物名称】Apaziquone, NOR-701, E-85/050, E09, E-85/053, NSC-382456, EO9, EOquin, Neoquin
化学结构式(Chemical Structure):
参考文献No.8186
标题:Indoloquinone cpds
作者:Speckamp, W.N.; Oostveen, E.A. (University of Amsterdam)
来源:JP 1989502906; US 5079257; WO 8706227
合成路线图解说明:

1) The nitrosation of 3-chlorophenol (I) with NaNO2 and H2SO4 in water gives 3-chloro-4-nitrophenol (III), which is methylated with SO4(Me)2 and NaH in THF to yield 3-chloro-4-nitroanisole (IV). The condensation of (IV) with ethyl cyanoacetate (V) by means of NaH in DMF affords ethyl 2-(5-methoxy-2-nitrophenyl)cyanoacetate (VI), which is submitted to ethanolysis with ethanol/HCl affording the malonic ester derivative (VII). The hydrogenation of (VII) with H2 over PtO2 in toluene/ethanol gives the corresponding amino derivative (VIII), which is condensed with methyl 3-formylacrylate (IX) in ethanol yielding the intermediate imine (X). This imine (X), without isolation, is cyclized with zinc acetate in methanol affording 3-[3,3-bis(ethoxycarbonyl)-5-methoxy-2,3-dihydro-1H-indol-2-yl]acrylic acid methyl ester (XI), which is acetylated with acetic anhydride to the N-acetyl derivative (XII). The decarboxylative hydrolysis of (XII) with KOH in ethanol gives 3-(1-acetyl-3-carboxy-5-methoxy-2,3-dihydro-1H-indol-2-yl)acrylic acid (XIII), which is converted into its dimethyl ester (XIV) with SO4(Me)2 and K2CO3. The dehydrogenation of (XIV) with dichlorodicyanobenzoquinone (DDQ) in refluxing toluene yields 3-[1-acetyl-5-methoxy-3-(methoxycarbonyl)-1H-indol-2-yl]acrylic acid methyl ester (XV), which is deacetylated to (XVI) by column chromatography over basic alumina in dichloromethane/acetone. The nitration of (XVI) with fuming nitric acid in acetic acid affords the 4-nitro derivative (XVII), which is methylated with NaH and methyl iodide to the N-methyl derivative (XVIII). The reduction of (XVIII) with Sn and 3N HCl in ethanol/water yields the corresponding 4-amino derivative (XIX), which is oxidized with Fremy's salt (nitrodisulfonic acid potassium salt) to afford 3-[5-methoxy-3-(methoxycarbonyl)-1-methyl-4,7-dioxo-4,7-dihydro-1H-indo l -2-yl]acrylic acid methyl ester (XX). The reduction of (XX) with Na2S2O4 in CHCl3/ethanol/water gives the corresponding hydroquinone (XXI), which is first reduced with DIBAL (diisobutylaluminum hydride) in toluene/dichloromethane and then oxidized again with FeCl3 to afford 3-(hydroxymethyl)-2-(3-hydroxy-1-propenyl)-5-methoxy-1-methyl-4,7-dihydro-1H-indole-4,7-dione (XXII). Finally, this compound is treated with aziridine (XXIII) in hot methanol.

参考文献No.269354
标题:Synthetic studies of the indoloquinone antitumor agent EO9
作者:Kinugawa, M.; Arai, H.; Nishikawa, H.; Masuda, Y.; Ogasa, T.; Tomioka, S.; Kasai, M.
来源:13th Int Symp Med Chem (Sept 19-23, Paris) 1994,Abst P250
合成路线图解说明:

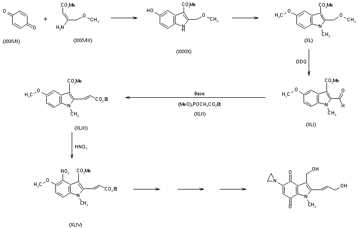
3) The cyclization of benzoquinone (XXXVII) with 3-amino-4-methoxycrotonic acid methyl ester (XXXVIII) gives 5-hydroxy-2-(methoxymethyl)-1H-indole-3-carboxylic acid methyl ester (XXXIX), which is methylated to 5-methoxy-2-(methoxymethyl)-1-methylindole-3-carboxylic acid methyl ester (XL). The oxidation of (XL) with DDQ yields the corresponding aldehyde (XLI), which is submitted to a Horner-Emmonds condensation with 2-(dimethoxyphosphoryl)acetic acid ethyl ester (XLII) in a basic medium to afford the corresponding acrylic ester (XLIII). The nitration of (XLIII) gives 3-[5-methoxy-3-(methoxycarbonyl)-1-methyl-4-nitroindol-2-yl]acrylic acid ethyl ester (XLIV), the monoethyl ester analogue of compound (XVIII).The reduction of (XLIV) with Sn and 3N HCl in ethanol/water yields the corresponding 4-amino derivative (XLV), which is oxidized with Fremy's salt (nitrodisulfonic acid potassium salt) to afford 3-[5-methoxy-3-(methoxycarbonyl)-1-methyl-4,7-dioxo-4,7-dihydro-1H-indo l -2-yl]acrylic acid ethyl ester (XLVI). The reduction of (XLVI) with Na2S2O4 in CHCl3/ethanol/water gives the corresponding hydroquinone (XLVII), which is first reduced with DIBAL (diisobutylaluminum hydride) in toluene/dichloromethane and then oxidized again with FeCl3 to afford 3-(hydroxymethyl)-2-(3-hydroxy-1-propenyl)-5-methoxy-1-methyl-4,7-dihydro-1H-indole-4,7-dione (XXII). Finally, this compound is treated with aziridine (XXIII) in hot methanol.

参考文献No.341168
标题:EO9
作者:Bailey, S.M.; Lohmeyer, M.; Dimbleby, R.; Casta馿r, J.
来源:Drugs Fut 1996,21(2),143
合成路线图解说明:

1) The nitrosation of 3-chlorophenol (I) with NaNO2 and H2SO4 in water gives 3-chloro-4-nitrophenol (III), which is methylated with SO4(Me)2 and NaH in THF to yield 3-chloro-4-nitroanisole (IV). The condensation of (IV) with ethyl cyanoacetate (V) by means of NaH in DMF affords ethyl 2-(5-methoxy-2-nitrophenyl)cyanoacetate (VI), which is submitted to ethanolysis with ethanol/HCl affording the malonic ester derivative (VII). The hydrogenation of (VII) with H2 over PtO2 in toluene/ethanol gives the corresponding amino derivative (VIII), which is condensed with methyl 3-formylacrylate (IX) in ethanol yielding the intermediate imine (X). This imine (X), without isolation, is cyclized with zinc acetate in methanol affording 3-[3,3-bis(ethoxycarbonyl)-5-methoxy-2,3-dihydro-1H-indol-2-yl]acrylic acid methyl ester (XI), which is acetylated with acetic anhydride to the N-acetyl derivative (XII). The decarboxylative hydrolysis of (XII) with KOH in ethanol gives 3-(1-acetyl-3-carboxy-5-methoxy-2,3-dihydro-1H-indol-2-yl)acrylic acid (XIII), which is converted into its dimethyl ester (XIV) with SO4(Me)2 and K2CO3. The dehydrogenation of (XIV) with dichlorodicyanobenzoquinone (DDQ) in refluxing toluene yields 3-[1-acetyl-5-methoxy-3-(methoxycarbonyl)-1H-indol-2-yl]acrylic acid methyl ester (XV), which is deacetylated to (XVI) by column chromatography over basic alumina in dichloromethane/acetone. The nitration of (XVI) with fuming nitric acid in acetic acid affords the 4-nitro derivative (XVII), which is methylated with NaH and methyl iodide to the N-methyl derivative (XVIII). The reduction of (XVIII) with Sn and 3N HCl in ethanol/water yields the corresponding 4-amino derivative (XIX), which is oxidized with Fremy's salt (nitrodisulfonic acid potassium salt) to afford 3-[5-methoxy-3-(methoxycarbonyl)-1-methyl-4,7-dioxo-4,7-dihydro-1H-indo l -2-yl]acrylic acid methyl ester (XX). The reduction of (XX) with Na2S2O4 in CHCl3/ethanol/water gives the corresponding hydroquinone (XXI), which is first reduced with DIBAL (diisobutylaluminum hydride) in toluene/dichloromethane and then oxidized again with FeCl3 to afford 3-(hydroxymethyl)-2-(3-hydroxy-1-propenyl)-5-methoxy-1-methyl-4,7-dihydro-1H-indole-4,7-dione (XXII). Finally, this compound is treated with aziridine (XXIII) in hot methanol.

合成路线图解说明:

2) The esterification of 2-hydroxy-3-methoxybenzaldehyde (XXIV) with methanesulfonyl chloride and triethylamine gives the corresponding mesylate (XXV), which is nitrated with fuming HNO3 to 2-(methanesulfonyloxy)-3-methoxy-6-nitrobenzaldehyde (XXVI). The condensation of (XXVI) or 2-(benzenesulfonyloxy)-3-methoxy-6-nitrobenzaldehyde (XXVIII) with 2-(diethoxyphosphoryl)acetic acid methyl ester by means of NaH in THF yields 3-(2-hydroxy-3-methoxy-6-nitrophenyl)acrylic acid methyl ester (XXVII), which is benzylated with benzyl bromide and K2CO3 to the benzyl derivative (XXIX). The cyclization of (XXIX) with refluxing triethyl phosphite affords 4-benzyloxy-5-methoxy-1H-indole-2-carboxylic acid methyl ester (XXX), which is reduced to the corresponding carbaldehyde (XXXI) according to Tetrahedron Lett 1994, 50: 7657. The methylation of (XXXI) with NaH and methyl iodide in DMF yields the N-methyl derivative (XXXII), which is condensed with 2-(diethoxyphosphoryl)acetic acid methyl ester by means of NaH in THF to afford 3-(4-benzyloxy-5-methoxy-1-methylindol-2-yl)acrylic acid methyl ester (XXXIII). The formylation of (XXXIII) with POCl3 and DMF gives the 4-formyl derivative (XXXIV), which is debenzylated with trimethylsilyl iodide in acetonitrile to the 4-hydroxy compound (XXXV). The oxidation of (XXXV) with Fremy's salt as before yields 3-(3-formyl-5-methoxy-1-methyl-4,7-dioxo-4,7-dihydro-1H-indole-2-yl) acrylic acid methyl ester (XXXVI), which is treated successively with Na2S2O4, DIBAL, and finally with FeCl3, as before, to afford the dihydroxy quinone (XXII), already obtained.

合成路线图解说明:

3) The cyclization of benzoquinone (XXXVII) with 3-amino-4-methoxycrotonic acid methyl ester (XXXVIII) gives 5-hydroxy-2-(methoxymethyl)-1H-indole-3-carboxylic acid methyl ester (XXXIX), which is methylated to 5-methoxy-2-(methoxymethyl)-1-methylindole-3-carboxylic acid methyl ester (XL). The oxidation of (XL) with DDQ yields the corresponding aldehyde (XLI), which is submitted to a Horner-Emmonds condensation with 2-(dimethoxyphosphoryl)acetic acid ethyl ester (XLII) in a basic medium to afford the corresponding acrylic ester (XLIII). The nitration of (XLIII) gives 3-[5-methoxy-3-(methoxycarbonyl)-1-methyl-4-nitroindol-2-yl]acrylic acid ethyl ester (XLIV), the monoethyl ester analogue of compound (XVIII).The reduction of (XLIV) with Sn and 3N HCl in ethanol/water yields the corresponding 4-amino derivative (XLV), which is oxidized with Fremy's salt (nitrodisulfonic acid potassium salt) to afford 3-[5-methoxy-3-(methoxycarbonyl)-1-methyl-4,7-dioxo-4,7-dihydro-1H-indo l -2-yl]acrylic acid ethyl ester (XLVI). The reduction of (XLVI) with Na2S2O4 in CHCl3/ethanol/water gives the corresponding hydroquinone (XLVII), which is first reduced with DIBAL (diisobutylaluminum hydride) in toluene/dichloromethane and then oxidized again with FeCl3 to afford 3-(hydroxymethyl)-2-(3-hydroxy-1-propenyl)-5-methoxy-1-methyl-4,7-dihydro-1H-indole-4,7-dione (XXII). Finally, this compound is treated with aziridine (XXIII) in hot methanol.

参考文献No.352371
标题:Mitomycin analogues I. Indoloquinones as (potential) bisalkylating agents
作者:Oostveen, E.A.; Speckamp, W.N.
来源:Tetrahedron 1987,43255-62
合成路线图解说明:

1) The nitrosation of 3-chlorophenol (I) with NaNO2 and H2SO4 in water gives 3-chloro-4-nitrophenol (III), which is methylated with SO4(Me)2 and NaH in THF to yield 3-chloro-4-nitroanisole (IV). The condensation of (IV) with ethyl cyanoacetate (V) by means of NaH in DMF affords ethyl 2-(5-methoxy-2-nitrophenyl)cyanoacetate (VI), which is submitted to ethanolysis with ethanol/HCl affording the malonic ester derivative (VII). The hydrogenation of (VII) with H2 over PtO2 in toluene/ethanol gives the corresponding amino derivative (VIII), which is condensed with methyl 3-formylacrylate (IX) in ethanol yielding the intermediate imine (X). This imine (X), without isolation, is cyclized with zinc acetate in methanol affording 3-[3,3-bis(ethoxycarbonyl)-5-methoxy-2,3-dihydro-1H-indol-2-yl]acrylic acid methyl ester (XI), which is acetylated with acetic anhydride to the N-acetyl derivative (XII). The decarboxylative hydrolysis of (XII) with KOH in ethanol gives 3-(1-acetyl-3-carboxy-5-methoxy-2,3-dihydro-1H-indol-2-yl)acrylic acid (XIII), which is converted into its dimethyl ester (XIV) with SO4(Me)2 and K2CO3. The dehydrogenation of (XIV) with dichlorodicyanobenzoquinone (DDQ) in refluxing toluene yields 3-[1-acetyl-5-methoxy-3-(methoxycarbonyl)-1H-indol-2-yl]acrylic acid methyl ester (XV), which is deacetylated to (XVI) by column chromatography over basic alumina in dichloromethane/acetone. The nitration of (XVI) with fuming nitric acid in acetic acid affords the 4-nitro derivative (XVII), which is methylated with NaH and methyl iodide to the N-methyl derivative (XVIII). The reduction of (XVIII) with Sn and 3N HCl in ethanol/water yields the corresponding 4-amino derivative (XIX), which is oxidized with Fremy's salt (nitrodisulfonic acid potassium salt) to afford 3-[5-methoxy-3-(methoxycarbonyl)-1-methyl-4,7-dioxo-4,7-dihydro-1H-indo l -2-yl]acrylic acid methyl ester (XX). The reduction of (XX) with Na2S2O4 in CHCl3/ethanol/water gives the corresponding hydroquinone (XXI), which is first reduced with DIBAL (diisobutylaluminum hydride) in toluene/dichloromethane and then oxidized again with FeCl3 to afford 3-(hydroxymethyl)-2-(3-hydroxy-1-propenyl)-5-methoxy-1-methyl-4,7-dihydro-1H-indole-4,7-dione (XXII). Finally, this compound is treated with aziridine (XXIII) in hot methanol.

参考文献No.352392
标题:An improved synthesis of the indolequinone anticancer agent EO9
作者:Cotterill, A.S.; Moody, C.J.; Roffey, J.R.
来源:Tetrahedron 1995,51(26),7223-30
合成路线图解说明:

2) The esterification of 2-hydroxy-3-methoxybenzaldehyde (XXIV) with methanesulfonyl chloride and triethylamine gives the corresponding mesylate (XXV), which is nitrated with fuming HNO3 to 2-(methanesulfonyloxy)-3-methoxy-6-nitrobenzaldehyde (XXVI). The condensation of (XXVI) or 2-(benzenesulfonyloxy)-3-methoxy-6-nitrobenzaldehyde (XXVIII) with 2-(diethoxyphosphoryl)acetic acid methyl ester by means of NaH in THF yields 3-(2-hydroxy-3-methoxy-6-nitrophenyl)acrylic acid methyl ester (XXVII), which is benzylated with benzyl bromide and K2CO3 to the benzyl derivative (XXIX). The cyclization of (XXIX) with refluxing triethyl phosphite affords 4-benzyloxy-5-methoxy-1H-indole-2-carboxylic acid methyl ester (XXX), which is reduced to the corresponding carbaldehyde (XXXI) according to Tetrahedron Lett 1994, 50: 7657. The methylation of (XXXI) with NaH and methyl iodide in DMF yields the N-methyl derivative (XXXII), which is condensed with 2-(diethoxyphosphoryl)acetic acid methyl ester by means of NaH in THF to afford 3-(4-benzyloxy-5-methoxy-1-methylindol-2-yl)acrylic acid methyl ester (XXXIII). The formylation of (XXXIII) with POCl3 and DMF gives the 4-formyl derivative (XXXIV), which is debenzylated with trimethylsilyl iodide in acetonitrile to the 4-hydroxy compound (XXXV). The oxidation of (XXXV) with Fremy's salt as before yields 3-(3-formyl-5-methoxy-1-methyl-4,7-dioxo-4,7-dihydro-1H-indole-2-yl) acrylic acid methyl ester (XXXVI), which is treated successively with Na2S2O4, DIBAL, and finally with FeCl3, as before, to afford the dihydroxy quinone (XXII), already obtained.

Drug Information Express,Drug R&D,Chemical Database,Patent Search.
Copyright © 2006-2026 Drug Future. All rights reserved.Contact Us