【药物名称】AHR-5333B
化学结构式(Chemical Structure):
参考文献No.60903
标题:AHR-5333B
作者:Yanni, J.M.; Walsh, D.A.
来源:Drugs Fut 1988,13(7),605
合成路线图解说明:

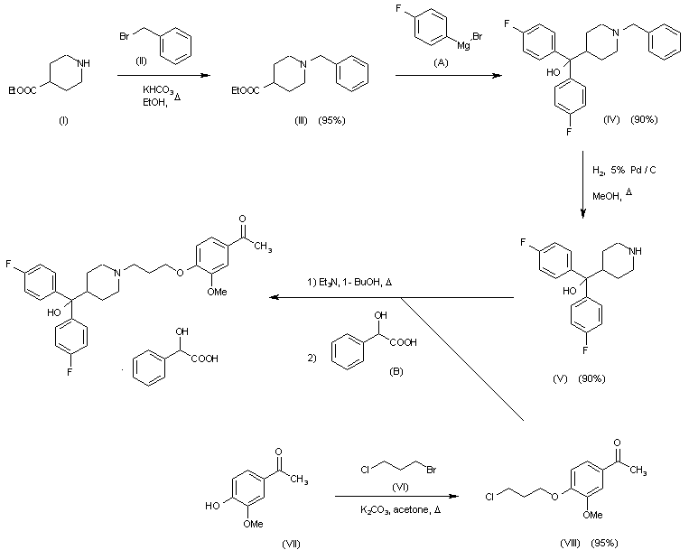
AHR-53338 is synthesized in an overall yield of 62% from ethyl isonipecotate (I): Ethyl isonipecotate (I) is protected with benzyl bromide (II) to give (III), which is then treated with 2.5 moles of 4-fluorophenylmagnesium bromide to give the tertiary alcohol (IV). The benzyl group is removed by catalytic hydrogenolysis to give the secondary piperidine (V). The reaction of 1-bromo-3-chloropropane (VI) with acetovanillone (VII) gives 1-[4-(3-chloropropoxy)-3-methoxyphenyl]ethanone (VIII) in excellent yield. A mixture of (V) and (VIII) in 1-butanol and triethylamine heated at reflux yields AHR-53338 isolated as the mandelic acid salt.

参考文献No.547122
标题:The synthesis and antiallergy activity of 1-[4-[3-
作者:Yanni, J.M.; Walsh, D.A.; Franzyshen, S.K.
来源:193rd ACS Natl Meet 1987,Abst MEDI 85
合成路线图解说明:

AHR-53338 is synthesized in an overall yield of 62% from ethyl isonipecotate (I): Ethyl isonipecotate (I) is protected with benzyl bromide (II) to give (III), which is then treated with 2.5 moles of 4-fluorophenylmagnesium bromide to give the tertiary alcohol (IV). The benzyl group is removed by catalytic hydrogenolysis to give the secondary piperidine (V). The reaction of 1-bromo-3-chloropropane (VI) with acetovanillone (VII) gives 1-[4-(3-chloropropoxy)-3-methoxyphenyl]ethanone (VIII) in excellent yield. A mixture of (V) and (VIII) in 1-butanol and triethylamine heated at reflux yields AHR-53338 isolated as the mandelic acid salt.

Drug Information Express,Drug R&D,Chemical Database,Patent Search.
Copyright © 2006-2026 Drug Future. All rights reserved.Contact Us