【药物名称】Azelnidipine, CS-905, RS-9054, Calblock
化学结构式(Chemical Structure):
参考文献No.8241
标题:Dihydropyridine derivs., their preparation and their use
作者:Koike, H.; Yoshimoto, M.; Nishino, H. (Sankyo Co., Ltd.; Ube Industries, Ltd.)
来源:EP 0266922; EP 0529702; JP 1988253082; US 4772596
合成路线图解说明:

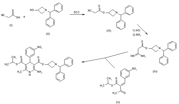
The esterification of cyanacetic acid (I) with 1-(diphenylmethyl)azetidin-3-ol (II) by means of dicyclohexylcarbodiimide (DCC) in hot THF gives the corresponding cyanacetic ester (III), which is treated with HCl and then with NH3 to afford amidinoacetic acid (1-diphenylmethyl)azetidin-3-yl ester (IV). Finally, this compound is cyclized with 2-(3-nitrobenzylidene)acetoacetic acid isopropyl ester (V) by means of sodium methoxide in refluxing isopropanol.

参考文献No.115361
标题:CS-905
作者:Prous, J.; Casta馿r, J.
来源:Drugs Fut 1990,15(7),1671
合成路线图解说明:

The esterification of cyanacetic acid (I) with 1-(diphenylmethyl)azetidin-3-ol (II) by means of dicyclohexylcarbodiimide (DCC) in hot THF gives the corresponding cyanacetic ester (III), which is treated with HCl and then with NH3 to afford amidinoacetic acid (1-diphenylmethyl)azetidin-3-yl ester (IV). Finally, this compound is cyclized with 2-(3-nitrobenzylidene)acetoacetic acid isopropyl ester (V) by means of sodium methoxide in refluxing isopropanol.

Drug Information Express,Drug R&D,Chemical Database,Patent Search.
Copyright © 2006-2026 Drug Future. All rights reserved.Contact Us