【药物名称】Semotiadil fumarate, Sesamodil fumarate, DS-4823, SD-3211
化学结构式(Chemical Structure):
参考文献No.7081
标题:Novel benzothiazine derivs.
作者:Iwao, J.; Iso, T.; Oya, M. (Santen Pharmaceutical Co., Ltd.)
来源:EP 0237573; JP 1987123181; US 4786635; WO 8700838
合成路线图解说明:

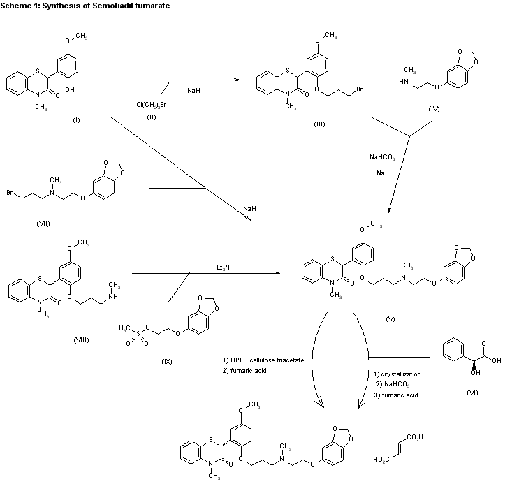
Semotiadil fumarate has been obtained by several related ways: 1) The reaction of 2-(2-hydroxy-5-methoxyphenyl)-4-methyl-3,4-dihydro-2H-1,4-benzothiazin-3-one (I) with 3-chloropropyl bromide (II) by means of NaH in DMF gives 2-[2-(3-bromopropoxy)-5-methoxyphenyl]-4-methyl-3,4-dihydro-2H-1,4-benzothiazin-3-one (III) , which is condensed with N-[2-(1,3-benzodioxol-5-yloxy)ethyl]-N-methylamine (IV) by means of NaI in NaHCO3 in DMF yielding 2-[2-[3-[N-[2-(1,3-benzodioxol-5-yloxy)ethyl]-N-methylamino]propoxy]-5-methoxyphenyl]-4-methyl-3,4-dihydro-2H-1,4-benzothiazin-3-one (V). Finally, this compound is submitted to optical resolution by salification with L-(+)-2-hydroxy-2-phenylacetic acid (VI), fractional crystallization of the resulting salts, elimination of the chiral acid with NaHCO3 and salification with fumaric acid in ethanol. 2) Compound (V) can also be obtained by condensation of benzothiazinone (I) with N-[2-(1,3-benzodioxol-5-yloxy)ethyl]-N-(3-bromopropyl)-N-methylamine (VII) by means of NaH in DMF. 3) Compound (V) can also be obtained by condensation of 2-[5-methoxy-2-[3-(methylamino)propoxy]phenyl]-4-methyl-3,4-dihydro-2H-1,4-benzothiazin-3-one (VIII) with 2-(1,3-benzodioxol-5-yloxy)ethyl methanesulfonate (IX) by means of triethylamine in ethanol. 4) The optical resolution of the racemic compound (V) can also be performed by chromatography over a column packed with crystalline cellulose triacetate eluted with 95% ethanol.

合成路线图解说明:

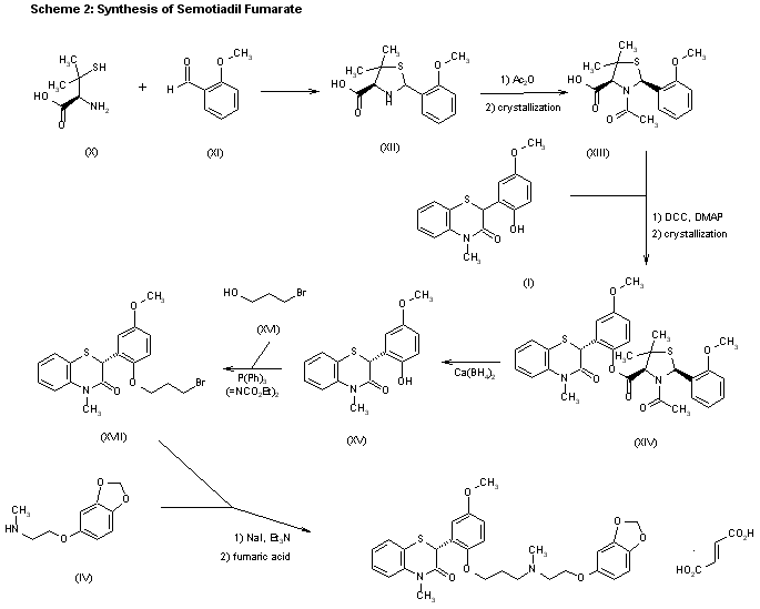
5) The cyclization of D-penicillamine (X) with 2-methoxybenzaldehyde (XI) in ethanol gives (4S)-2-(2-methoxyphenyl)-5,5-dimethylthiazolidine-4-carboxylic acid (XII), which by acetylation with hot acetic anhydride and fractional crystallization yields the chiral (2S,4S)-3-acetyl-2-(2-methoxyphenyl)-5,5-dimethylthiazolidine-4-carboxylic acid (XIII). The esterification of (XIII) with the hydroxyl group of benzothiazinone (I) by means of dicyclohexylcarbodiimide (DCC) and dimethylaminopyridine (DMAP) in DMF affords a diastereomeric mixture of esters, which is separated by fractional crystallization giving ester (XIV). Elimination of the chiral auxiliar by treatment with calcium borohydride in THF or sodium borohydride in ethanol (2) gives (R)-2-(2-hydroxy-5-methoxyphenyl)-4-methyl-3,4-dihydro-2H-1,4-benzothiazin-3-one (XV), which is condensed with 3-bromopropanol (XVI) by means of triphenylphosphine and diethyl azodicarboxylate in DMF or THF yielding (R)-2-[2-(3-bromopropoxy)-5-methoxyphenyl]-4-methyl-3,4-dihydro-2H-1,4-benzothiazin-3-one (XVII). Finally, this compound is condensed with the secondary amine (IV) by means of NaI and NaHCO3 as already described, and treated with fumaric acid as before.

合成路线图解说明:

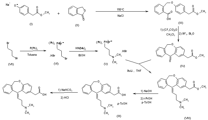
Reaction of the sodium salt of p-hydroxyphenylacetic acid methyl ester (I) with phthalide (II) gives 2-(4-carboxymethylphenoxymethyl)benzoic acid methyl ester (III), which is cyclized with trifluoroacetic anhydride followed by borontrifluoride etherate to yield 11-oxo-6,11-dihydrodibenz[b,e]oxepin-2-acetic acid methyl ester (IV). Wittig reaction of compound (IV) with 3-(dimethylaminopropyl)triphenylphosphonium bromide hydrobromide (V) yields (Z)-11-[3-(dimethylamino)propylidene]-6,11-dihydrodibenz[b,e]oxepin-2-acetic acid methyl ester (VIII), which is hydrolyzed with NaOH and treated with p-toluenesulfonic acid in isopropanol to afford the p-toluenesulfonate salt (IX), from which the free base is finally liberated. Compound (V) is obtained from (3-bromopropyl)triphenylphosphonium bromide hydrobromide (VI), previously prepared from 1,3-dibromopropane (VII) and triphenylphosphine in toluene.

合成路线图解说明:

Reduction of 11-oxo-6,11-dihydrodibenz[b,e]oxepin-2-acetic acid methyl ester (IV) with lithium aluminum hydride gives 11-hydroxy-2-(2-hydroxyethyl)-6,11-dihydrodibenz[b,e]oxepin (X), whose primary hydroxyl group is protected with triphenylchloromethane in pyridine to yield 11-hydroxy-2-(2-triphenylmethoxyethyl)-6,11-dihdrodibenz[b,e]oxepin (XI). Oxidation of (XI) with potassium permanganate affords 11-oxo-2-(2-triphenylmethoxyethyl)-6,11-dihydrodibenz[b,e]oxepin (XII), which is treated with 3-(dimethylamino)propylmagnesium chloride (XIII) to give 11-[3-(dimethylamino)propyl]-11-hydroxy-2-(2-triphenylmethoxyethyl)-6,11-dihydrodibenz[b,e]oxepin (XIV). Elimation of water with phosphorous oxychloride yields 11-[3-(dimethylamino)propylidene]-2-(2-triphenylmethoxyethyl)-6,11-dihydrodibenz[b,e]oxepin (XV), which is deprotected with p-toluenesulfonic acid to 11-[3-(dimethylamino)propylidene]- 2-(2-hydroxyethyl)-6,11-dihydrodibenz[b,e]oxepin (XVI). Finally, compound (XVI) is oxidized with Jones reagent.

参考文献No.19055
标题:Sulfur-containing polycyclic cpds
作者:Iwao, J.; Iso, T.; Kawashima, Y. (Santen Pharmaceutical Co., Ltd.)
来源:JP 1988104969
合成路线图解说明:

5) The cyclization of D-penicillamine (X) with 2-methoxybenzaldehyde (XI) in ethanol gives (4S)-2-(2-methoxyphenyl)-5,5-dimethylthiazolidine-4-carboxylic acid (XII), which by acetylation with hot acetic anhydride and fractional crystallization yields the chiral (2S,4S)-3-acetyl-2-(2-methoxyphenyl)-5,5-dimethylthiazolidine-4-carboxylic acid (XIII). The esterification of (XIII) with the hydroxyl group of benzothiazinone (I) by means of dicyclohexylcarbodiimide (DCC) and dimethylaminopyridine (DMAP) in DMF affords a diastereomeric mixture of esters, which is separated by fractional crystallization giving ester (XIV). Elimination of the chiral auxiliar by treatment with calcium borohydride in THF or sodium borohydride in ethanol (2) gives (R)-2-(2-hydroxy-5-methoxyphenyl)-4-methyl-3,4-dihydro-2H-1,4-benzothiazin-3-one (XV), which is condensed with 3-bromopropanol (XVI) by means of triphenylphosphine and diethyl azodicarboxylate in DMF or THF yielding (R)-2-[2-(3-bromopropoxy)-5-methoxyphenyl]-4-methyl-3,4-dihydro-2H-1,4-benzothiazin-3-one (XVII). Finally, this compound is condensed with the secondary amine (IV) by means of NaI and NaHCO3 as already described, and treated with fumaric acid as before.

合成路线图解说明:

Reduction of 11-oxo-6,11-dihydrodibenz[b,e]oxepin-2-acetic acid methyl ester (IV) with lithium aluminum hydride gives 11-hydroxy-2-(2-hydroxyethyl)-6,11-dihydrodibenz[b,e]oxepin (X), whose primary hydroxyl group is protected with triphenylchloromethane in pyridine to yield 11-hydroxy-2-(2-triphenylmethoxyethyl)-6,11-dihdrodibenz[b,e]oxepin (XI). Oxidation of (XI) with potassium permanganate affords 11-oxo-2-(2-triphenylmethoxyethyl)-6,11-dihydrodibenz[b,e]oxepin (XII), which is treated with 3-(dimethylamino)propylmagnesium chloride (XIII) to give 11-[3-(dimethylamino)propyl]-11-hydroxy-2-(2-triphenylmethoxyethyl)-6,11-dihydrodibenz[b,e]oxepin (XIV). Elimation of water with phosphorous oxychloride yields 11-[3-(dimethylamino)propylidene]-2-(2-triphenylmethoxyethyl)-6,11-dihydrodibenz[b,e]oxepin (XV), which is deprotected with p-toluenesulfonic acid to 11-[3-(dimethylamino)propylidene]- 2-(2-hydroxyethyl)-6,11-dihydrodibenz[b,e]oxepin (XVI). Finally, compound (XVI) is oxidized with Jones reagent.

参考文献No.130019
标题:Synthesis and Ca2+ antagonistic activity of 2-[2-[(aminoalkyl)oxy]-5-methoxyphenyl]-3,4-dihydro-4-methyl-3-oxo-2H -1,4-benzothiazines
作者:Yamauchi, H.; Kawashima, Y.; Yamamoto, K.; Ito, S.; Iwao, J.-I.; Fujita, M.; Ota, A.; Kato, N.
来源:J Med Chem 1990,33(7),1898-905
合成路线图解说明:

Semotiadil fumarate has been obtained by several related ways: 1) The reaction of 2-(2-hydroxy-5-methoxyphenyl)-4-methyl-3,4-dihydro-2H-1,4-benzothiazin-3-one (I) with 3-chloropropyl bromide (II) by means of NaH in DMF gives 2-[2-(3-bromopropoxy)-5-methoxyphenyl]-4-methyl-3,4-dihydro-2H-1,4-benzothiazin-3-one (III) , which is condensed with N-[2-(1,3-benzodioxol-5-yloxy)ethyl]-N-methylamine (IV) by means of NaI in NaHCO3 in DMF yielding 2-[2-[3-[N-[2-(1,3-benzodioxol-5-yloxy)ethyl]-N-methylamino]propoxy]-5-methoxyphenyl]-4-methyl-3,4-dihydro-2H-1,4-benzothiazin-3-one (V). Finally, this compound is submitted to optical resolution by salification with L-(+)-2-hydroxy-2-phenylacetic acid (VI), fractional crystallization of the resulting salts, elimination of the chiral acid with NaHCO3 and salification with fumaric acid in ethanol. 2) Compound (V) can also be obtained by condensation of benzothiazinone (I) with N-[2-(1,3-benzodioxol-5-yloxy)ethyl]-N-(3-bromopropyl)-N-methylamine (VII) by means of NaH in DMF. 3) Compound (V) can also be obtained by condensation of 2-[5-methoxy-2-[3-(methylamino)propoxy]phenyl]-4-methyl-3,4-dihydro-2H-1,4-benzothiazin-3-one (VIII) with 2-(1,3-benzodioxol-5-yloxy)ethyl methanesulfonate (IX) by means of triethylamine in ethanol. 4) The optical resolution of the racemic compound (V) can also be performed by chromatography over a column packed with crystalline cellulose triacetate eluted with 95% ethanol.

合成路线图解说明:

5) The cyclization of D-penicillamine (X) with 2-methoxybenzaldehyde (XI) in ethanol gives (4S)-2-(2-methoxyphenyl)-5,5-dimethylthiazolidine-4-carboxylic acid (XII), which by acetylation with hot acetic anhydride and fractional crystallization yields the chiral (2S,4S)-3-acetyl-2-(2-methoxyphenyl)-5,5-dimethylthiazolidine-4-carboxylic acid (XIII). The esterification of (XIII) with the hydroxyl group of benzothiazinone (I) by means of dicyclohexylcarbodiimide (DCC) and dimethylaminopyridine (DMAP) in DMF affords a diastereomeric mixture of esters, which is separated by fractional crystallization giving ester (XIV). Elimination of the chiral auxiliar by treatment with calcium borohydride in THF or sodium borohydride in ethanol (2) gives (R)-2-(2-hydroxy-5-methoxyphenyl)-4-methyl-3,4-dihydro-2H-1,4-benzothiazin-3-one (XV), which is condensed with 3-bromopropanol (XVI) by means of triphenylphosphine and diethyl azodicarboxylate in DMF or THF yielding (R)-2-[2-(3-bromopropoxy)-5-methoxyphenyl]-4-methyl-3,4-dihydro-2H-1,4-benzothiazin-3-one (XVII). Finally, this compound is condensed with the secondary amine (IV) by means of NaI and NaHCO3 as already described, and treated with fumaric acid as before.

合成路线图解说明:

Reaction of the sodium salt of p-hydroxyphenylacetic acid methyl ester (I) with phthalide (II) gives 2-(4-carboxymethylphenoxymethyl)benzoic acid methyl ester (III), which is cyclized with trifluoroacetic anhydride followed by borontrifluoride etherate to yield 11-oxo-6,11-dihydrodibenz[b,e]oxepin-2-acetic acid methyl ester (IV). Wittig reaction of compound (IV) with 3-(dimethylaminopropyl)triphenylphosphonium bromide hydrobromide (V) yields (Z)-11-[3-(dimethylamino)propylidene]-6,11-dihydrodibenz[b,e]oxepin-2-acetic acid methyl ester (VIII), which is hydrolyzed with NaOH and treated with p-toluenesulfonic acid in isopropanol to afford the p-toluenesulfonate salt (IX), from which the free base is finally liberated. Compound (V) is obtained from (3-bromopropyl)triphenylphosphonium bromide hydrobromide (VI), previously prepared from 1,3-dibromopropane (VII) and triphenylphosphine in toluene.

合成路线图解说明:

Reduction of 11-oxo-6,11-dihydrodibenz[b,e]oxepin-2-acetic acid methyl ester (IV) with lithium aluminum hydride gives 11-hydroxy-2-(2-hydroxyethyl)-6,11-dihydrodibenz[b,e]oxepin (X), whose primary hydroxyl group is protected with triphenylchloromethane in pyridine to yield 11-hydroxy-2-(2-triphenylmethoxyethyl)-6,11-dihdrodibenz[b,e]oxepin (XI). Oxidation of (XI) with potassium permanganate affords 11-oxo-2-(2-triphenylmethoxyethyl)-6,11-dihydrodibenz[b,e]oxepin (XII), which is treated with 3-(dimethylamino)propylmagnesium chloride (XIII) to give 11-[3-(dimethylamino)propyl]-11-hydroxy-2-(2-triphenylmethoxyethyl)-6,11-dihydrodibenz[b,e]oxepin (XIV). Elimation of water with phosphorous oxychloride yields 11-[3-(dimethylamino)propylidene]-2-(2-triphenylmethoxyethyl)-6,11-dihydrodibenz[b,e]oxepin (XV), which is deprotected with p-toluenesulfonic acid to 11-[3-(dimethylamino)propylidene]- 2-(2-hydroxyethyl)-6,11-dihydrodibenz[b,e]oxepin (XVI). Finally, compound (XVI) is oxidized with Jones reagent.

参考文献No.396894
标题:Sesamodil Fumarate
作者:Robinson, K.A.; Robinson, C.P.; Casta馿r, J.
来源:Drugs Fut 1997,22(3),229
合成路线图解说明:

Semotiadil fumarate has been obtained by several related ways: 1) The reaction of 2-(2-hydroxy-5-methoxyphenyl)-4-methyl-3,4-dihydro-2H-1,4-benzothiazin-3-one (I) with 3-chloropropyl bromide (II) by means of NaH in DMF gives 2-[2-(3-bromopropoxy)-5-methoxyphenyl]-4-methyl-3,4-dihydro-2H-1,4-benzothiazin-3-one (III) , which is condensed with N-[2-(1,3-benzodioxol-5-yloxy)ethyl]-N-methylamine (IV) by means of NaI in NaHCO3 in DMF yielding 2-[2-[3-[N-[2-(1,3-benzodioxol-5-yloxy)ethyl]-N-methylamino]propoxy]-5-methoxyphenyl]-4-methyl-3,4-dihydro-2H-1,4-benzothiazin-3-one (V). Finally, this compound is submitted to optical resolution by salification with L-(+)-2-hydroxy-2-phenylacetic acid (VI), fractional crystallization of the resulting salts, elimination of the chiral acid with NaHCO3 and salification with fumaric acid in ethanol. 2) Compound (V) can also be obtained by condensation of benzothiazinone (I) with N-[2-(1,3-benzodioxol-5-yloxy)ethyl]-N-(3-bromopropyl)-N-methylamine (VII) by means of NaH in DMF. 3) Compound (V) can also be obtained by condensation of 2-[5-methoxy-2-[3-(methylamino)propoxy]phenyl]-4-methyl-3,4-dihydro-2H-1,4-benzothiazin-3-one (VIII) with 2-(1,3-benzodioxol-5-yloxy)ethyl methanesulfonate (IX) by means of triethylamine in ethanol. 4) The optical resolution of the racemic compound (V) can also be performed by chromatography over a column packed with crystalline cellulose triacetate eluted with 95% ethanol.

合成路线图解说明:

5) The cyclization of D-penicillamine (X) with 2-methoxybenzaldehyde (XI) in ethanol gives (4S)-2-(2-methoxyphenyl)-5,5-dimethylthiazolidine-4-carboxylic acid (XII), which by acetylation with hot acetic anhydride and fractional crystallization yields the chiral (2S,4S)-3-acetyl-2-(2-methoxyphenyl)-5,5-dimethylthiazolidine-4-carboxylic acid (XIII). The esterification of (XIII) with the hydroxyl group of benzothiazinone (I) by means of dicyclohexylcarbodiimide (DCC) and dimethylaminopyridine (DMAP) in DMF affords a diastereomeric mixture of esters, which is separated by fractional crystallization giving ester (XIV). Elimination of the chiral auxiliar by treatment with calcium borohydride in THF or sodium borohydride in ethanol (2) gives (R)-2-(2-hydroxy-5-methoxyphenyl)-4-methyl-3,4-dihydro-2H-1,4-benzothiazin-3-one (XV), which is condensed with 3-bromopropanol (XVI) by means of triphenylphosphine and diethyl azodicarboxylate in DMF or THF yielding (R)-2-[2-(3-bromopropoxy)-5-methoxyphenyl]-4-methyl-3,4-dihydro-2H-1,4-benzothiazin-3-one (XVII). Finally, this compound is condensed with the secondary amine (IV) by means of NaI and NaHCO3 as already described, and treated with fumaric acid as before.

Drug Information Express,Drug R&D,Chemical Database,Patent Search.
Copyright © 2006-2026 Drug Future. All rights reserved.Contact Us