【药物名称】Ecabet sodium, TA-2711E, TA-2711, Gastrom
化学结构式(Chemical Structure):
参考文献No.72704
标题:TA-2711
作者:Prous, J.; Casta馿r, J.
来源:Drugs Fut 1988,13(11),966
合成路线图解说明:

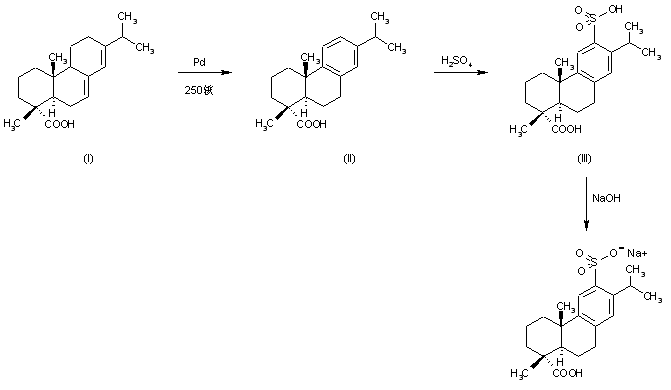
The dehydrogenation of abietic acid (I) over Pd at 250 C gives dehydroabietic acid (II), which is sulfonated with sulfuric acid at -5 C yielding 12-sulfodehydroabietic acid (III). Finally, this compound is neutralized with NaOH in water.

参考文献No.87847
标题:Antiulcer activity of dehydroabietic acid derivati
作者:Wada, H.; Kodato, S.-I.; Kawamori, M.; Morikawa, T.; Nakai, H.; Takeda, M.; Saito, S.; Onoda, Y.; Tamaki, H.
来源:Chem Pharm Bull 1985,33(4),1472
合成路线图解说明:

The dehydrogenation of abietic acid (I) over Pd at 250 C gives dehydroabietic acid (II), which is sulfonated with sulfuric acid at -5 C yielding 12-sulfodehydroabietic acid (III). Finally, this compound is neutralized with NaOH in water.

参考文献No.547121
标题:Substitution reactions of dehydroabietic acid
作者:Fieser, L.F.; Campbell, W.P.
来源:J Am Chem Soc 1938,602631
合成路线图解说明:

The dehydrogenation of abietic acid (I) over Pd at 250 C gives dehydroabietic acid (II), which is sulfonated with sulfuric acid at -5 C yielding 12-sulfodehydroabietic acid (III). Finally, this compound is neutralized with NaOH in water.

Drug Information Express,Drug R&D,Chemical Database,Patent Search.
Copyright © 2006-2026 Drug Future. All rights reserved.Contact Us