【药物名称】AA-2379
化学结构式(Chemical Structure):
参考文献No.8187
标题:3-Aminopyrazolo(3,4-d)pyrimidine derivs. and production thereof
作者:Furukawa, Y.; Maki, Y. (Takeda Chemical Industries, Ltd.)
来源:EP 0166054
合成路线图解说明:

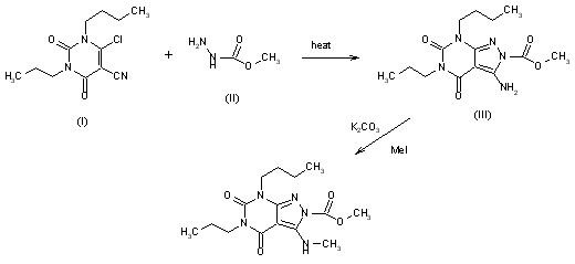
The cyclization of 1-butyl-6-chloro-5-cyano-3-propyluracil (I) with methoxycarbonylhydrazine (II) in refluxing methanol yields 3-amino-7-butyl-4,6-dioxo-5-propyl-4,5,6,7-tetrahydro-2H-pyrazolo[3,4-d]pyrimidine-2-carboxylic acid ethyl ester (III), which is then methylated with methyl iodide and K2CO3 in DMF.

参考文献No.111189
标题:AA-2379
作者:Prous, J.; Casta馿r, J.
来源:Drugs Fut 1990,15(5),443
合成路线图解说明:

The cyclization of 1-butyl-6-chloro-5-cyano-3-propyluracil (I) with methoxycarbonylhydrazine (II) in refluxing methanol yields 3-amino-7-butyl-4,6-dioxo-5-propyl-4,5,6,7-tetrahydro-2H-pyrazolo[3,4-d]pyrimidine-2-carboxylic acid ethyl ester (III), which is then methylated with methyl iodide and K2CO3 in DMF.

Drug Information Express,Drug R&D,Chemical Database,Patent Search.
Copyright © 2006-2026 Drug Future. All rights reserved.Contact Us