【药物名称】Imitrodast sodium, CS-518, RS-5186, Logran
化学结构式(Chemical Structure):
参考文献No.7171
标题:Thianaphthene derivs., their production and use
作者:Terada, A.; Amemiya, Y.; Matsuda, K.; Oshima, T. (Sankyo Co., Ltd.)
来源:EP 0240107; JP 1987252784; JP 1988083084; US 4847272; US 5021444
合成路线图解说明:

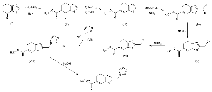
Imitrodast can be obtained by two related ways: 1) The carboxylation of 4,5,6,7-tetrahydrobenzo[b]thiophen-7-one (I) with dimethyl carbonate by means of NaH in DMF gives 7-oxo-4,5,6,7-tetrahydro[b]thiophene-6-carboxylic acid methyl ester (II) (1, 2), which is reduced with NaBH4 and dehydrated with p-toluenesulfonic acid yielding 4,5-dihydrobenzo[b]thiophene-6-carboxylic acid methyl ester (III). The formylation of (III) with dichloromethyl methyl ether and AlCl3 in methylene chloride affords the corresponding 2-formyl derivative (IV), which is reduced with NaBH4 in methanol/THF to the hydroxymethyl derivative (V). The reaction of (V) with SOCl2 in dichloromethane gives the chloromethyl derivative (VI), which is condensed with the sodium derivative of imidazole (VII) by means of 4-(dimethylamino)pyridine in dichloromethane yielding 2-(1-imidazolylmethyl)-4,5-dihydrobenzo[b]thiophene-6-carboxylic acid methyl ester (VIII). Finally, this compound is hydrolyzed with NaOH in aqueous ethanol.

合成路线图解说明:

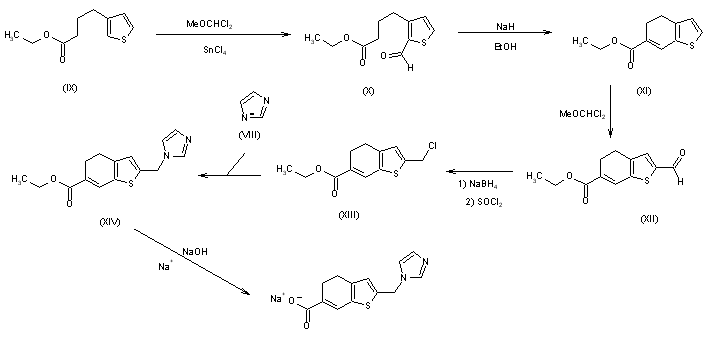
2) The formylation of 4-(3-thienyl)butyric acid ethyl ester (IX) with dichloromethyl methyl ether and SnCl4 in dichloromethane gives 4-(2-formylthien-3-yl)butyric acid ethyl ester (X), which is cyclized with sodium ethoxide (NaH/ethanol) in hot toluene yielding 4,5-dihydrobenzo[b]thiophene-6-carboxylic acid ethyl ester ester (XI).

参考文献No.33917
标题:Production method of thianaphthene derivs
作者:Terada, A.; Amemiya, Y.; Wachi, K. (Sankyo Co., Ltd.)
来源:JP 1989050879
合成路线图解说明:

Imitrodast can be obtained by two related ways: 1) The carboxylation of 4,5,6,7-tetrahydrobenzo[b]thiophen-7-one (I) with dimethyl carbonate by means of NaH in DMF gives 7-oxo-4,5,6,7-tetrahydro[b]thiophene-6-carboxylic acid methyl ester (II) (1, 2), which is reduced with NaBH4 and dehydrated with p-toluenesulfonic acid yielding 4,5-dihydrobenzo[b]thiophene-6-carboxylic acid methyl ester (III). The formylation of (III) with dichloromethyl methyl ether and AlCl3 in methylene chloride affords the corresponding 2-formyl derivative (IV), which is reduced with NaBH4 in methanol/THF to the hydroxymethyl derivative (V). The reaction of (V) with SOCl2 in dichloromethane gives the chloromethyl derivative (VI), which is condensed with the sodium derivative of imidazole (VII) by means of 4-(dimethylamino)pyridine in dichloromethane yielding 2-(1-imidazolylmethyl)-4,5-dihydrobenzo[b]thiophene-6-carboxylic acid methyl ester (VIII). Finally, this compound is hydrolyzed with NaOH in aqueous ethanol.

合成路线图解说明:

2) The formylation of 4-(3-thienyl)butyric acid ethyl ester (IX) with dichloromethyl methyl ether and SnCl4 in dichloromethane gives 4-(2-formylthien-3-yl)butyric acid ethyl ester (X), which is cyclized with sodium ethoxide (NaH/ethanol) in hot toluene yielding 4,5-dihydrobenzo[b]thiophene-6-carboxylic acid ethyl ester ester (XI).

参考文献No.98566
标题:Synthesis and thromboxane synthetase inhibitory activity of di- or tetrahydrobenzo[b]thiophenecarboxylic acid derivatives
作者:Amemiya, Y.; et al.
来源:J Med Chem 1989,32(6),1265-72
合成路线图解说明:

Imitrodast can be obtained by two related ways: 1) The carboxylation of 4,5,6,7-tetrahydrobenzo[b]thiophen-7-one (I) with dimethyl carbonate by means of NaH in DMF gives 7-oxo-4,5,6,7-tetrahydro[b]thiophene-6-carboxylic acid methyl ester (II) (1, 2), which is reduced with NaBH4 and dehydrated with p-toluenesulfonic acid yielding 4,5-dihydrobenzo[b]thiophene-6-carboxylic acid methyl ester (III). The formylation of (III) with dichloromethyl methyl ether and AlCl3 in methylene chloride affords the corresponding 2-formyl derivative (IV), which is reduced with NaBH4 in methanol/THF to the hydroxymethyl derivative (V). The reaction of (V) with SOCl2 in dichloromethane gives the chloromethyl derivative (VI), which is condensed with the sodium derivative of imidazole (VII) by means of 4-(dimethylamino)pyridine in dichloromethane yielding 2-(1-imidazolylmethyl)-4,5-dihydrobenzo[b]thiophene-6-carboxylic acid methyl ester (VIII). Finally, this compound is hydrolyzed with NaOH in aqueous ethanol.

参考文献No.414583
标题:Imitrodast Sodium
作者:Nerlos, M.; Leeson, P.; Casta馿r, J.
来源:Drugs Fut 1997,22(7),715
合成路线图解说明:

Imitrodast can be obtained by two related ways: 1) The carboxylation of 4,5,6,7-tetrahydrobenzo[b]thiophen-7-one (I) with dimethyl carbonate by means of NaH in DMF gives 7-oxo-4,5,6,7-tetrahydro[b]thiophene-6-carboxylic acid methyl ester (II) (1, 2), which is reduced with NaBH4 and dehydrated with p-toluenesulfonic acid yielding 4,5-dihydrobenzo[b]thiophene-6-carboxylic acid methyl ester (III). The formylation of (III) with dichloromethyl methyl ether and AlCl3 in methylene chloride affords the corresponding 2-formyl derivative (IV), which is reduced with NaBH4 in methanol/THF to the hydroxymethyl derivative (V). The reaction of (V) with SOCl2 in dichloromethane gives the chloromethyl derivative (VI), which is condensed with the sodium derivative of imidazole (VII) by means of 4-(dimethylamino)pyridine in dichloromethane yielding 2-(1-imidazolylmethyl)-4,5-dihydrobenzo[b]thiophene-6-carboxylic acid methyl ester (VIII). Finally, this compound is hydrolyzed with NaOH in aqueous ethanol.

合成路线图解说明:

2) The formylation of 4-(3-thienyl)butyric acid ethyl ester (IX) with dichloromethyl methyl ether and SnCl4 in dichloromethane gives 4-(2-formylthien-3-yl)butyric acid ethyl ester (X), which is cyclized with sodium ethoxide (NaH/ethanol) in hot toluene yielding 4,5-dihydrobenzo[b]thiophene-6-carboxylic acid ethyl ester ester (XI).

Drug Information Express,Drug R&D,Chemical Database,Patent Search.
Copyright © 2006-2026 Drug Future. All rights reserved.Contact Us