【药物名称】NC-190, NCU-190Na
化学结构式(Chemical Structure):
参考文献No.5210
标题:Benzo[a]phenazine derivs.
作者:Migita, Y.; Eguchi, T.; Kumazawa, Y.; Nakagami, J.; Amano, T.; Sota, K.; Sakakibara, J. (Taisho Pharmaceutical Co., Ltd.)
来源:EP 0196910; ES 8706651; JP 1987000072; US 4686292
合成路线图解说明:

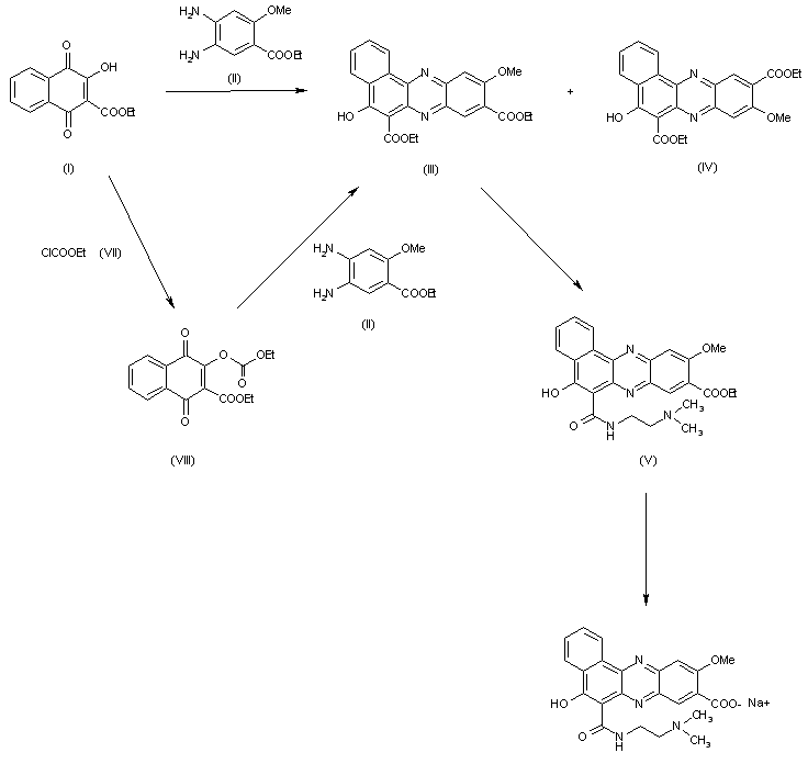
NCU-190Na is synthesized by condensation of naphthoquinone (I) and phenylenediamine (II), but several isomers (IV) of benzo[a]phenazine are produced at the same time. Using ethyl chlorocarbonate, (III) is selectively produced and aminolysis of esters is also selective to the 6-position; thus, (V) is produced and can be converted to (VI) (NCU190Na). Various derivatives of (VI) can be synthesized in a similar manner. Compound (III) can also be prepared from naphthoquinone (I) and ethyl chloroformate (VII) to give ethyl 3-(ethoxycarbonyloxy)-1,4-dioxo-1,4-dihydro-2-naphthoate (VIII), which is condensed with phenylenediamine (II).

参考文献No.66121
标题:NCU-190Na
作者:Hoshi, A.
来源:Drugs Fut 1988,13(8),726
合成路线图解说明:

NCU-190Na is synthesized by condensation of naphthoquinone (I) and phenylenediamine (II), but several isomers (IV) of benzo[a]phenazine are produced at the same time. Using ethyl chlorocarbonate, (III) is selectively produced and aminolysis of esters is also selective to the 6-position; thus, (V) is produced and can be converted to (VI) (NCU190Na). Various derivatives of (VI) can be synthesized in a similar manner. Compound (III) can also be prepared from naphthoquinone (I) and ethyl chloroformate (VII) to give ethyl 3-(ethoxycarbonyloxy)-1,4-dioxo-1,4-dihydro-2-naphthoate (VIII), which is condensed with phenylenediamine (II).

参考文献No.547119
标题:Selective synthsesis of new benzo(a)-phenazine-6-c
作者:Watanabe, Y.; Soda, K.; Nakagami, J.; Sakakibara, Z.; Migita, Y.; Kumazawa, Y.
来源:108th Annu Meet Pharm Soc Jpn (April 4-7, Hiroshima) 1988,Abst 5E16 2-1
合成路线图解说明:

NCU-190Na is synthesized by condensation of naphthoquinone (I) and phenylenediamine (II), but several isomers (IV) of benzo[a]phenazine are produced at the same time. Using ethyl chlorocarbonate, (III) is selectively produced and aminolysis of esters is also selective to the 6-position; thus, (V) is produced and can be converted to (VI) (NCU190Na). Various derivatives of (VI) can be synthesized in a similar manner. Compound (III) can also be prepared from naphthoquinone (I) and ethyl chloroformate (VII) to give ethyl 3-(ethoxycarbonyloxy)-1,4-dioxo-1,4-dihydro-2-naphthoate (VIII), which is condensed with phenylenediamine (II).

参考文献No.547120
标题:Synthesis and antitumor activity of new benzo(a)-p
作者:Kumazawa, Y.; Nakagami, J.; Soda, K.; Nakaike, S.; Sakakibara, Z.; Watanabe, Y.; Migita, Y.
来源:108th Annu Meet Pharm Soc Jpn (April 4-7, Hiroshima) 1988,Abst 5E16 11-2
合成路线图解说明:

NCU-190Na is synthesized by condensation of naphthoquinone (I) and phenylenediamine (II), but several isomers (IV) of benzo[a]phenazine are produced at the same time. Using ethyl chlorocarbonate, (III) is selectively produced and aminolysis of esters is also selective to the 6-position; thus, (V) is produced and can be converted to (VI) (NCU190Na). Various derivatives of (VI) can be synthesized in a similar manner. Compound (III) can also be prepared from naphthoquinone (I) and ethyl chloroformate (VII) to give ethyl 3-(ethoxycarbonyloxy)-1,4-dioxo-1,4-dihydro-2-naphthoate (VIII), which is condensed with phenylenediamine (II).

Drug Information Express,Drug R&D,Chemical Database,Patent Search.
Copyright © 2006-2026 Drug Future. All rights reserved.Contact Us