【药物名称】Acitazanolast, MTCC, WP-871, Zepelin
化学结构式(Chemical Structure):
参考文献No.7734
标题: 3-(1H-Tetrazol-5-yl)oxanilic acid and salts thereof, method for preparing the same and pharmacological compsns. Containing the cpd
作者:Sawaki, S.; Ootake, Y.; Hashimoto, T.; Abe, T.; Horio, Y. (Wakamoto Pharmaceutical Co., Ltd.)
来源:EP 0256507; JP 1988044570; US 4795756
合成路线图解说明:

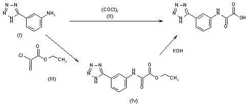
Acitazanolast can be obtained by two related procedures: 1) By condensation of 3-(1H-tetrazol-5-yl)aniline (I) with oxalyl chloride (II) in dimethoxyethane. 2) By condensation of the aniline (I) with ethyl oxalyl chloride (III) by means of triethylamine in DMF to the corresponding ethyl ester (IV), which is then hydrolyzed with base (KOH or NaOH) in ethanol.

参考文献No.14134
标题:Antiallergic agents
作者:Sawaki, M.; Ohtake, Y.; Hashimoto, M.; Abe, T.; Horio, Y. (Wakamoto Pharmaceutical Co., Ltd.)
来源:JP 1989029312
合成路线图解说明:

Acitazanolast can be obtained by two related procedures: 1) By condensation of 3-(1H-tetrazol-5-yl)aniline (I) with oxalyl chloride (II) in dimethoxyethane. 2) By condensation of the aniline (I) with ethyl oxalyl chloride (III) by means of triethylamine in DMF to the corresponding ethyl ester (IV), which is then hydrolyzed with base (KOH or NaOH) in ethanol.

参考文献No.314639
标题:Acitazanolast
作者:Rabasseda, X.; Mealy, N.; Casta馿r, J.
来源:Drugs Fut 1995,20(9),873
合成路线图解说明:

Acitazanolast can be obtained by two related procedures: 1) By condensation of 3-(1H-tetrazol-5-yl)aniline (I) with oxalyl chloride (II) in dimethoxyethane. 2) By condensation of the aniline (I) with ethyl oxalyl chloride (III) by means of triethylamine in DMF to the corresponding ethyl ester (IV), which is then hydrolyzed with base (KOH or NaOH) in ethanol.

Drug Information Express,Drug R&D,Chemical Database,Patent Search.
Copyright © 2006-2026 Drug Future. All rights reserved.Contact Us