【药物名称】beta-Arteether, Artemotil, Arteether, SM-227, E MAL, Artecef
化学结构式(Chemical Structure):
参考文献No.9867
标题:Novel antimalarial dihydroartemisinin derivs.
作者:Lin, A.J.; Klayman, D.L.; Milhous, W.K. (Department of the Army)
来源:US 4791135
合成路线图解说明:

Reduction of artemisinin (I) with sodium borohydride provides dihydroartemisinin (II) (1-5). Subsequent treatment of hemiacetal (II) with ethanol in the presence of acid catalysts, such as BF3稥t2O (1), ClSiMe3 (2), p TsOH (6-8), AlCl3 (7, 8) or cation-exchange resins (3, 7, 8) gives rise to the target beta-ethoxy acetal as the major diastereoisomer. Alternatively, dihydroartemisinin (II) is first dehydrated to the enol ether (III) employing P2O5 in CH2Cl2. Addition of EtOH to (III) in the presence of PPh3稨Br then produces a mixture of the target compound and its 11-alpha epimer (IV), along with minor amounts of their 12-alpha ethoxy analogues (4). The analogous synthesis employing EtO2H or EtO3H yields the corresponding 11-deuterium or 11-tritium labelled compounds (9).

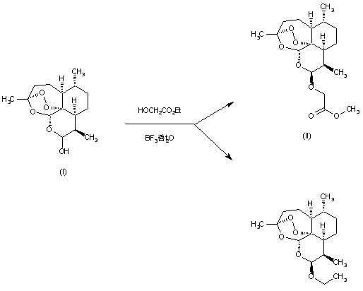
合成路线图解说明:

Condensation of dihydroartemisinin (I) with ethyl glycolate in the presence of BF3稥t2O in anhydrous diethyl ether produces a mixture of the desired glycolate adduct (II) along with the title ethoxy derivative as a byproduct (5).

参考文献No.64636
标题:Process for the preparation of arteethers from dihydroartemisinin
作者:Kumar, S.; Jain, D.C.; Bhakuni, R.S.; Saxena, S.; Vishwakarma, R.A. (Council of Scientific and Industrial Research)
来源:US 6346631
合成路线图解说明:

Reduction of artemisinin (I) with sodium borohydride provides dihydroartemisinin (II) (1-5). Subsequent treatment of hemiacetal (II) with ethanol in the presence of acid catalysts, such as BF3稥t2O (1), ClSiMe3 (2), p TsOH (6-8), AlCl3 (7, 8) or cation-exchange resins (3, 7, 8) gives rise to the target beta-ethoxy acetal as the major diastereoisomer. Alternatively, dihydroartemisinin (II) is first dehydrated to the enol ether (III) employing P2O5 in CH2Cl2. Addition of EtOH to (III) in the presence of PPh3稨Br then produces a mixture of the target compound and its 11-alpha epimer (IV), along with minor amounts of their 12-alpha ethoxy analogues (4). The analogous synthesis employing EtO2H or EtO3H yields the corresponding 11-deuterium or 11-tritium labelled compounds (9).

参考文献No.64637
标题:Preparation of arteethers
作者:Kumar, S.; Jain, D.C.; Bhakuni, R.S.; Saxena, S.; Vishwakarma, R.A. (Council of Scientific and Industrial Research)
来源:GB 2360517
合成路线图解说明:

Reduction of artemisinin (I) with sodium borohydride provides dihydroartemisinin (II) (1-5). Subsequent treatment of hemiacetal (II) with ethanol in the presence of acid catalysts, such as BF3稥t2O (1), ClSiMe3 (2), p TsOH (6-8), AlCl3 (7, 8) or cation-exchange resins (3, 7, 8) gives rise to the target beta-ethoxy acetal as the major diastereoisomer. Alternatively, dihydroartemisinin (II) is first dehydrated to the enol ether (III) employing P2O5 in CH2Cl2. Addition of EtOH to (III) in the presence of PPh3稨Br then produces a mixture of the target compound and its 11-alpha epimer (IV), along with minor amounts of their 12-alpha ethoxy analogues (4). The analogous synthesis employing EtO2H or EtO3H yields the corresponding 11-deuterium or 11-tritium labelled compounds (9).

参考文献No.87762
标题:Arteether, a new antimalarial drug: Synthesis and antimalarial properties
作者:Brossi, A.; Venugopalan, B.; Gerpe, L.G.; Yeh, H.J.C.; Flippen-Anderson, J.L.; Buchs, P.; Luo, X.D.; Milhous, W.; Peters, W.
来源:J Med Chem 1988,31(3),645
合成路线图解说明:

Reduction of artemisinin (I) with sodium borohydride provides dihydroartemisinin (II) (1-5). Subsequent treatment of hemiacetal (II) with ethanol in the presence of acid catalysts, such as BF3稥t2O (1), ClSiMe3 (2), p TsOH (6-8), AlCl3 (7, 8) or cation-exchange resins (3, 7, 8) gives rise to the target beta-ethoxy acetal as the major diastereoisomer. Alternatively, dihydroartemisinin (II) is first dehydrated to the enol ether (III) employing P2O5 in CH2Cl2. Addition of EtOH to (III) in the presence of PPh3稨Br then produces a mixture of the target compound and its 11-alpha epimer (IV), along with minor amounts of their 12-alpha ethoxy analogues (4). The analogous synthesis employing EtO2H or EtO3H yields the corresponding 11-deuterium or 11-tritium labelled compounds (9).

参考文献No.352797
标题:Deuterated antimalarials: Synthesis of trideutero-artemisinin, dihydroartemisinin, and arteether
作者:Avery, M.A.; et al.
来源:J Label Compd Radiopharm 1996,38(3),249
合成路线图解说明:

The synthesis of a deuterated analogue of artemether starting from the previously reported carboxylic acid (I) is shown in Scheme 14079601c. Alkylation of the dilithium derivative of (I) with CD3I gives the alpha-methyl acid (II) as a single stereoisomer. Ozonolysis of (II), followed by acid-catalyzed cyclization affords the deuterated artemisinin (III). Reduction of lactone (III) by means of DIBAL provides lactol (IV). Finally, the target ethyl ether is formed by treatment of (IV) with ethanol and boron trifluoride etherate (10).

参考文献No.699662
标题:A one-pot conversion of artemisinin to its ether derivatives
作者:Singh, C.; Tiwari, P.
来源:Tetrahedron Lett 2002,43(40),7235
合成路线图解说明:

Reduction of qinghaosu (artemisine) (I) by means of sodium borohydride gives a hemiacetal, artemisininelactol (II). Interaction of the latter compound with methanol in the presence of boron triftuoride gives artemether. It can be prepared even more easily by treating artemisininelactol with methanol in acidic medium. The epimers can be separated by chromatography. However, the product without separation of epimers has been used for clinical studies.

合成路线图解说明:

Reduction of artemisinin (I) with sodium borohydride provides dihydroartemisinin (II) (1-5). Subsequent treatment of hemiacetal (II) with ethanol in the presence of acid catalysts, such as BF3稥t2O (1), ClSiMe3 (2), p TsOH (6-8), AlCl3 (7, 8) or cation-exchange resins (3, 7, 8) gives rise to the target beta-ethoxy acetal as the major diastereoisomer. Alternatively, dihydroartemisinin (II) is first dehydrated to the enol ether (III) employing P2O5 in CH2Cl2. Addition of EtOH to (III) in the presence of PPh3稨Br then produces a mixture of the target compound and its 11-alpha epimer (IV), along with minor amounts of their 12-alpha ethoxy analogues (4). The analogous synthesis employing EtO2H or EtO3H yields the corresponding 11-deuterium or 11-tritium labelled compounds (9).

参考文献No.732970
标题:An improved procedure for the synthesis of ethers of dihydroartemisinin
作者:Bhakuni, R.S.; Jain, D.C.; Sharma, R.P.
来源:Indian J Chem 1995,34B(6),529
合成路线图解说明:

Reduction of artemisinin (I) with sodium borohydride provides dihydroartemisinin (II) (1-5). Subsequent treatment of hemiacetal (II) with ethanol in the presence of acid catalysts, such as BF3稥t2O (1), ClSiMe3 (2), p TsOH (6-8), AlCl3 (7, 8) or cation-exchange resins (3, 7, 8) gives rise to the target beta-ethoxy acetal as the major diastereoisomer. Alternatively, dihydroartemisinin (II) is first dehydrated to the enol ether (III) employing P2O5 in CH2Cl2. Addition of EtOH to (III) in the presence of PPh3稨Br then produces a mixture of the target compound and its 11-alpha epimer (IV), along with minor amounts of their 12-alpha ethoxy analogues (4). The analogous synthesis employing EtO2H or EtO3H yields the corresponding 11-deuterium or 11-tritium labelled compounds (9).

参考文献No.732971
标题:Diastereofacial additions to a beta-substituted glycal, anhydrodihydroartemisinin
作者:Pu, Y.M.; Ziffer, H.
来源:Heterocycles 1994,39(2),649
合成路线图解说明:

Reduction of artemisinin (I) with sodium borohydride provides dihydroartemisinin (II) (1-5). Subsequent treatment of hemiacetal (II) with ethanol in the presence of acid catalysts, such as BF3稥t2O (1), ClSiMe3 (2), p TsOH (6-8), AlCl3 (7, 8) or cation-exchange resins (3, 7, 8) gives rise to the target beta-ethoxy acetal as the major diastereoisomer. Alternatively, dihydroartemisinin (II) is first dehydrated to the enol ether (III) employing P2O5 in CH2Cl2. Addition of EtOH to (III) in the presence of PPh3稨Br then produces a mixture of the target compound and its 11-alpha epimer (IV), along with minor amounts of their 12-alpha ethoxy analogues (4). The analogous synthesis employing EtO2H or EtO3H yields the corresponding 11-deuterium or 11-tritium labelled compounds (9).

参考文献No.732972
标题:A new method for the preparation of arteether and its C-9 epimer
作者:El-Feraly, F.S.; Al-Yahya, M.A.; Orabi, K.Y.; McPhail, D.R.; McPhail, A.T.
来源:J Nat Prod 1992,55(7),878
合成路线图解说明:

Reduction of artemisinin (I) with sodium borohydride provides dihydroartemisinin (II) (1-5). Subsequent treatment of hemiacetal (II) with ethanol in the presence of acid catalysts, such as BF3稥t2O (1), ClSiMe3 (2), p TsOH (6-8), AlCl3 (7, 8) or cation-exchange resins (3, 7, 8) gives rise to the target beta-ethoxy acetal as the major diastereoisomer. Alternatively, dihydroartemisinin (II) is first dehydrated to the enol ether (III) employing P2O5 in CH2Cl2. Addition of EtOH to (III) in the presence of PPh3稨Br then produces a mixture of the target compound and its 11-alpha epimer (IV), along with minor amounts of their 12-alpha ethoxy analogues (4). The analogous synthesis employing EtO2H or EtO3H yields the corresponding 11-deuterium or 11-tritium labelled compounds (9).

参考文献No.732973
标题:Synthesis of 11-[3H]-arteether, an experimental antimalarial drug
作者:Pu, Y.-M.; Ziffer, H.
来源:J Label Compd Radiopharm 1993,33(11),1013
合成路线图解说明:

Reduction of artemisinin (I) with sodium borohydride provides dihydroartemisinin (II) (1-5). Subsequent treatment of hemiacetal (II) with ethanol in the presence of acid catalysts, such as BF3稥t2O (1), ClSiMe3 (2), p TsOH (6-8), AlCl3 (7, 8) or cation-exchange resins (3, 7, 8) gives rise to the target beta-ethoxy acetal as the major diastereoisomer. Alternatively, dihydroartemisinin (II) is first dehydrated to the enol ether (III) employing P2O5 in CH2Cl2. Addition of EtOH to (III) in the presence of PPh3稨Br then produces a mixture of the target compound and its 11-alpha epimer (IV), along with minor amounts of their 12-alpha ethoxy analogues (4). The analogous synthesis employing EtO2H or EtO3H yields the corresponding 11-deuterium or 11-tritium labelled compounds (9).

Drug Information Express,Drug R&D,Chemical Database,Patent Search.
Copyright © 2006-2026 Drug Future. All rights reserved.Contact Us