【药物名称】Timelotem maleate, KC-7507
化学结构式(Chemical Structure):
参考文献No.1350
标题:[1,2]-Fused 1,4-benzodiazepine cpds., process for
作者:Benson, W.; Heinemann, H.; Liepmann, H.; Muesch, H.; Ruhland, M.; Zeugner, H. (Kali-Chemie AG)
来源:DE 3151597; EP 0084155; US 4508716
合成路线图解说明:

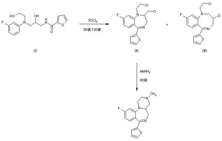
Timelotem can be prepared by cyclization of the acyl diamine (I) with phosphorus oxychloride at 80-130 C, yielding the ring isomers (II) and (III). At higher reaction temperatures (II) is formed almost exclusively. It can be separated into its enantiomers. Subsequent reaction with methylamine -either of the crude mixture of (II) and (III) or of the pure racemic or enantiomeric (II)- affords anellation te yield title compound.

参考文献No.5484
标题:7-Phenyl-1,4-benzodiazepine derivs.
作者:Hell, I.; Hueschens, R.; Liepmann, H.; Milkowski, W.; Wolf, K.-U.; Zeugner, H. (Kali-Chemie AG)
来源:EP 0008045; US 4338314
合成路线图解说明:

Timelotem can be prepared by cyclization of the acyl diamine (I) with phosphorus oxychloride at 80-130 C, yielding the ring isomers (II) and (III). At higher reaction temperatures (II) is formed almost exclusively. It can be separated into its enantiomers. Subsequent reaction with methylamine -either of the crude mixture of (II) and (III) or of the pure racemic or enantiomeric (II)- affords anellation te yield title compound.

参考文献No.62991
标题:Timelotem maleate
作者:Prous, J.; Casta馿r, J.
来源:Drugs Fut 1988,13(5),424
合成路线图解说明:

Timelotem can be prepared by cyclization of the acyl diamine (I) with phosphorus oxychloride at 80-130 C, yielding the ring isomers (II) and (III). At higher reaction temperatures (II) is formed almost exclusively. It can be separated into its enantiomers. Subsequent reaction with methylamine -either of the crude mixture of (II) and (III) or of the pure racemic or enantiomeric (II)- affords anellation te yield title compound.

Drug Information Express,Drug R&D,Chemical Database,Patent Search.
Copyright © 2006-2026 Drug Future. All rights reserved.Contact Us