【药物名称】Fosquidone, GR-63178X, GR-63178A, NSC-D-611615, GR-63178G(sodium salt)
化学结构式(Chemical Structure):
参考文献No.7712
标题:Dioxobenz[5,6]isoindolo[2,1-b]isoquinoline derivs
作者:Phillips, G.H.; Jones, P.S.; Cooper, M.E. (Glaxo Wellcome plc)
来源:AU 8776203; BE 1002110; CH 672489; DE 3725185; FR 2602233; JP 1988093783; JP 1990000187; US 4851399
合成路线图解说明:

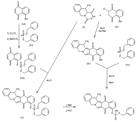
This compound can be obtained by two related ways: 1) The cyclization of 2-formyl-4-methyl-1,2,3,4-tetrahydroisoquinolone-3-carboxylic acid (I) with 2-chloro-5-hydroxy-1,4-naphthoquinone (II) by means of sodium acetate in hot acetic anhydride gives 9-hydroxy-14-methyl-5,8,13,14-tetrahydrobenz[5,6]isoindolo[2,1-b] isoquinoline-8,13-dione (III), which is condensed with dibenzyl phosphonate (IV) by means of N-chlorosuccinimide (NClS) and NaH in benzene to afford (14-methyl-8,13-dioxo-5,8,13,14-tetrahydrobenz[5,6]isoindolo[2,1-b] isoquinolin-9-yl)phosphoric acid dibenzyl ester (V). Finally, this compound is partially hydrolyzed with NaI in refluxing acetone, and the resulting sodium salt treated with aqueous HCl. 2) The condensation of 5-hydroxy-1,4-naphthoquinone (VI) with phosphonate (IV) by means of Cl2SO2 followed by a treatment with NaHCO3 gives (1,4-naphthoquinon-5-yl)phosphoric acid dibenzyl ester (VII), which is then cyclized with isoquinoline (I) in hot acetic anhydride to compound (V), already obtained.

参考文献No.12571
标题:Preparation of 5,8,13,14-tetrahydrobenz(5,6)isoindolo(2,1-b)isoquinolin-8,13-dione derivs
作者:Phillips, G.H.; Cowley, B.R. (Glaxo Wellcome plc)
来源:EP 0323907
合成路线图解说明:

This compound can be obtained by two related ways: 1) The cyclization of 2-formyl-4-methyl-1,2,3,4-tetrahydroisoquinolone-3-carboxylic acid (I) with 2-chloro-5-hydroxy-1,4-naphthoquinone (II) by means of sodium acetate in hot acetic anhydride gives 9-hydroxy-14-methyl-5,8,13,14-tetrahydrobenz[5,6]isoindolo[2,1-b] isoquinoline-8,13-dione (III), which is condensed with dibenzyl phosphonate (IV) by means of N-chlorosuccinimide (NClS) and NaH in benzene to afford (14-methyl-8,13-dioxo-5,8,13,14-tetrahydrobenz[5,6]isoindolo[2,1-b] isoquinolin-9-yl)phosphoric acid dibenzyl ester (V). Finally, this compound is partially hydrolyzed with NaI in refluxing acetone, and the resulting sodium salt treated with aqueous HCl. 2) The condensation of 5-hydroxy-1,4-naphthoquinone (VI) with phosphonate (IV) by means of Cl2SO2 followed by a treatment with NaHCO3 gives (1,4-naphthoquinon-5-yl)phosphoric acid dibenzyl ester (VII), which is then cyclized with isoquinoline (I) in hot acetic anhydride to compound (V), already obtained.

参考文献No.224198
标题:Fosquidone
作者:Casta馿r, J.; Pento, J.T.
来源:Drugs Fut 1993,18(10),891
合成路线图解说明:

This compound can be obtained by two related ways: 1) The cyclization of 2-formyl-4-methyl-1,2,3,4-tetrahydroisoquinolone-3-carboxylic acid (I) with 2-chloro-5-hydroxy-1,4-naphthoquinone (II) by means of sodium acetate in hot acetic anhydride gives 9-hydroxy-14-methyl-5,8,13,14-tetrahydrobenz[5,6]isoindolo[2,1-b] isoquinoline-8,13-dione (III), which is condensed with dibenzyl phosphonate (IV) by means of N-chlorosuccinimide (NClS) and NaH in benzene to afford (14-methyl-8,13-dioxo-5,8,13,14-tetrahydrobenz[5,6]isoindolo[2,1-b] isoquinolin-9-yl)phosphoric acid dibenzyl ester (V). Finally, this compound is partially hydrolyzed with NaI in refluxing acetone, and the resulting sodium salt treated with aqueous HCl. 2) The condensation of 5-hydroxy-1,4-naphthoquinone (VI) with phosphonate (IV) by means of Cl2SO2 followed by a treatment with NaHCO3 gives (1,4-naphthoquinon-5-yl)phosphoric acid dibenzyl ester (VII), which is then cyclized with isoquinoline (I) in hot acetic anhydride to compound (V), already obtained.

Drug Information Express,Drug R&D,Chemical Database,Patent Search.
Copyright © 2006-2026 Drug Future. All rights reserved.Contact Us