【药物名称】Emitefur, BOF-A2, Last-F
化学结构式(Chemical Structure):
参考文献No.7711
标题:5-Fluorouracil derivs., process for their preparation and their use
作者:Fujii, S. (Otsuka Pharmaceutical Co., Ltd.)
来源:DE 3709699; FR 2605006; GB 2192880; JP 1988201127; JP 1988301880
合成路线图解说明:

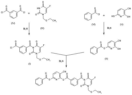
By condensation of 3-[3-(chlorocarbonyl)benzoyl]-1-(ethoxymethyl)-5-fluorouracil (I) with 6-benzoyloxy-3-cyano-2-hydroxypyridine (II) by means of triethylamine in refluxing acetonitrile. The starting compounds (I) and (II) are obtained as follows: The reaction of 1-(ethoxymethyl)-5-fluorouracil (III) with isophthaloyl dichloride (IV) by means of triethylamine in refluxing dioxane gives uracil (I). The esterification of 3-cyano-2,6-dihydroxypyridine (V) with benzoyl chloride (VI) by means of triethylamine in dimethylacetamide affords pyridine (II).

参考文献No.204972
标题:Emitefur
作者:Casta馿r, J.; Hoshi, A.
来源:Drugs Fut 1993,18(5),418
合成路线图解说明:

By condensation of 3-[3-(chlorocarbonyl)benzoyl]-1-(ethoxymethyl)-5-fluorouracil (I) with 6-benzoyloxy-3-cyano-2-hydroxypyridine (II) by means of triethylamine in refluxing acetonitrile. The starting compounds (I) and (II) are obtained as follows: The reaction of 1-(ethoxymethyl)-5-fluorouracil (III) with isophthaloyl dichloride (IV) by means of triethylamine in refluxing dioxane gives uracil (I). The esterification of 3-cyano-2,6-dihydroxypyridine (V) with benzoyl chloride (VI) by means of triethylamine in dimethylacetamide affords pyridine (II).

Drug Information Express,Drug R&D,Chemical Database,Patent Search.
Copyright © 2006-2026 Drug Future. All rights reserved.Contact Us