【药物名称】Probucol, DE-3872, DH-581, Lurselle, Sinlestal, Panavir(substained release), Lorelco
化学结构式(Chemical Structure):
参考文献No.65611
标题:Probucol
作者:Casta馿r, J.; Chatterjee, S.S.
来源:Drugs Fut 1977,2(2),128
合成路线图解说明:

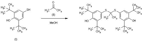
By condensation of 2,6-ditertbutyl-4-mercaptophenol (I) with acetone (II) in refluxing methanol with a catalytic amount of HCl.

参考文献No.701073
标题:Method of lowering serum cholesterol
作者:Barnhart, J.W.; Shea, P.J.
来源:US 3862332
合成路线图解说明:

By condensation of 2,6-ditertbutyl-4-mercaptophenol (I) with acetone (II) in refluxing methanol with a catalytic amount of HCl.

Drug Information Express,Drug R&D,Chemical Database,Patent Search.
Copyright © 2006-2026 Drug Future. All rights reserved.Contact Us