【药物名称】Sanazole, AK-2123
化学结构式(Chemical Structure):
参考文献No.300778
标题:AK-2123
作者:Huan, L.C.; Rong, S.
来源:Drugs Fut 1995,20(7),659
合成路线图解说明:

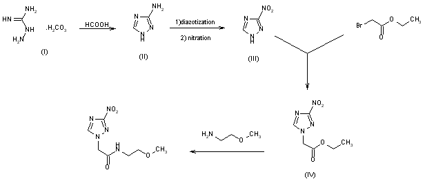
Condensation of aminoguanidine carbonate (I) with formic acid gives 3-aminotriazole (II), which by treatment with concentrated nitric acid in a sodium nitrite solution gives 3-nitrotriazole (III). N-Alkylation of (III) with bromoacetic acid ethyl ester affords 2-(3-nitro-1,2,4-triazol-1-yl)acetic acid ethyl ester (IV). Reaction of (IV) with 2-methoxyethylamine in dioxane yields AK-2123.

参考文献No.314954
标题:Nitrotriazoles bearing sulfur-substituted side chains: Preparation and characterization as hypoxic cell radiosensitizers
作者:Sugita, T.; Masuoka, M.; Nishikawa, Y.; Nishimoto, S.; Zhuo, L.; Sasai, K.; Kagiya, T.
来源:Anti-Cancer Drug Des 1992,7277-84
合成路线图解说明:

Condensation of aminoguanidine carbonate (I) with formic acid gives 3-aminotriazole (II), which by treatment with concentrated nitric acid in a sodium nitrite solution gives 3-nitrotriazole (III). N-Alkylation of (III) with bromoacetic acid ethyl ester affords 2-(3-nitro-1,2,4-triazol-1-yl)acetic acid ethyl ester (IV). Reaction of (IV) with 2-methoxyethylamine in dioxane yields AK-2123.

参考文献No.801409
标题:
作者:Horning, E.C.
来源:Organic Syntheses, Vol. 3, 1st Ed. University of Missouri 1995,95
合成路线图解说明:

Condensation of aminoguanidine carbonate (I) with formic acid gives 3-aminotriazole (II), which by treatment with concentrated nitric acid in a sodium nitrite solution gives 3-nitrotriazole (III). N-Alkylation of (III) with bromoacetic acid ethyl ester affords 2-(3-nitro-1,2,4-triazol-1-yl)acetic acid ethyl ester (IV). Reaction of (IV) with 2-methoxyethylamine in dioxane yields AK-2123.

Drug Information Express,Drug R&D,Chemical Database,Patent Search.
Copyright © 2006-2026 Drug Future. All rights reserved.Contact Us