【药物名称】Trimegestone, Ru-27987, Ondeva
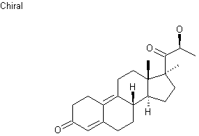
化学结构式(Chemical Structure):
参考文献No.43309
标题:A new process for the preparation of 20-keto-21alpha-hydroxy steroid cpds. and intermediates thereof
作者:Crocq, V.; Prat, D.; Vivat, M.; Buendia, J.; Masson, C. (Aventis Pharma SA)
来源:EP 0574317; FR 2692267; JP 1994065283; US 5399685
合成路线图解说明:

Trimegestone has been obtained by several related ways: 1) The reaction of 3,3-(ethylenedioxy)estra-5(10),9(11)-dien-17-one (I) with KCN and acetic acid in methanol, followed by silylation with TMSCl, gives the silylated cyanohydrin (II), which is treated with ethylmagnesium bromide in THF to yield the 17beta-propionyl derivative (III). Acetylation of the 17alpha-hydroxy group of (III) with Ac2O affords acetate (IV), which is methylated with MeI and lithium amide in liquid ammonia, giving the 17alpha-methyl derivative (V). The oxidation of (V) with t-BuOK and oxygen in DMF yields the 17beta-(2-oxopropionyl) derivative (VI), which is isomerized with acetic acid/ hydrochloric acid or acetic acid/perchloric acid, affording 17alpha-methyl-17beta-(2-oxopropionyl)estra-4,9-dien-3-one (VII). Finally, this compound is regio- and enantioselectively reduced with Saccharomyces cerevisiae in a sodium acetate buffer. 2) The reaction of the 17alpha-methyl derivative (V) with t-BuOK and iodine in THF gives the 17beta-(2-iodopropionyl) compound (VIII), which by reaction with KOAc in DMF, followed by treatment with acetic acid/perchloric acid as before, is converted into the 17beta-(2-acetoxypropionyl) derivative (IX). Finally, the acetoxy group of (IX) is hydrolyzed with KOH in methanol and the mixture of (R)- and (S)-diastereomers is separated by HPLC over silicagel. 3) The 17beta-(2-acetoxypropionyl) derivative (IX) can also be obtained directly by carefully controlled direct oxidation of the 17alpha-methyl-17beta-propionyl intermediate (V) with dry air in DMF in the presence of t-BuOK and triethyl phosphite. 4) The diastereoselective hydrolysis of the 17beta-(2-acetoxypropionyl) intermediate (IX) with lipase PS Amano in n-butanol/pH = 5 buffer gives a mixture of unreacted 17beta-[2(S)-acetoxypropinyl] derivative (X) and 17beta-[2(R)-hydroxypropionyl] derivative (XI). This mixture, without separation, is treated with methanesulfonyl chloride and Et3N in dichloromethane to yield a new mixture of the unreacted 17beta-[2(S)-acetoxypropionyl] derivative (X) and 17beta-[2(R)-(methanesulfonyloxy)propionyl] derivative (XII). The reaction of this mixture with potassium acetate in hot bis(2-methoxyethyl)ether affords pure 17beta-[2(S)-acetoxypropionyl] derivative (X), since the acetolysis of the sulfonate (XII) takes place with inversion of the configuration. Finally, this compound is hydrolyzed with KOH in methanol.

参考文献No.43310
标题:Novel 3,20-dioxo-4,9-diene-21-hydroxy steroid cpds., process for their preparation, their use in medicines and pharmaceutical compsns. containing them
作者:Coussediere, D. (Aventis Pharma SA)
来源:EP 0007823; EP 0046001; FR 2430953; JP 1980015475; JP 1988033395; US 4273771
合成路线图解说明:

Trimegestone has been obtained by several related ways: 1) The reaction of 3,3-(ethylenedioxy)estra-5(10),9(11)-dien-17-one (I) with KCN and acetic acid in methanol, followed by silylation with TMSCl, gives the silylated cyanohydrin (II), which is treated with ethylmagnesium bromide in THF to yield the 17beta-propionyl derivative (III). Acetylation of the 17alpha-hydroxy group of (III) with Ac2O affords acetate (IV), which is methylated with MeI and lithium amide in liquid ammonia, giving the 17alpha-methyl derivative (V). The oxidation of (V) with t-BuOK and oxygen in DMF yields the 17beta-(2-oxopropionyl) derivative (VI), which is isomerized with acetic acid/ hydrochloric acid or acetic acid/perchloric acid, affording 17alpha-methyl-17beta-(2-oxopropionyl)estra-4,9-dien-3-one (VII). Finally, this compound is regio- and enantioselectively reduced with Saccharomyces cerevisiae in a sodium acetate buffer. 2) The reaction of the 17alpha-methyl derivative (V) with t-BuOK and iodine in THF gives the 17beta-(2-iodopropionyl) compound (VIII), which by reaction with KOAc in DMF, followed by treatment with acetic acid/perchloric acid as before, is converted into the 17beta-(2-acetoxypropionyl) derivative (IX). Finally, the acetoxy group of (IX) is hydrolyzed with KOH in methanol and the mixture of (R)- and (S)-diastereomers is separated by HPLC over silicagel. 3) The 17beta-(2-acetoxypropionyl) derivative (IX) can also be obtained directly by carefully controlled direct oxidation of the 17alpha-methyl-17beta-propionyl intermediate (V) with dry air in DMF in the presence of t-BuOK and triethyl phosphite. 4) The diastereoselective hydrolysis of the 17beta-(2-acetoxypropionyl) intermediate (IX) with lipase PS Amano in n-butanol/pH = 5 buffer gives a mixture of unreacted 17beta-[2(S)-acetoxypropinyl] derivative (X) and 17beta-[2(R)-hydroxypropionyl] derivative (XI). This mixture, without separation, is treated with methanesulfonyl chloride and Et3N in dichloromethane to yield a new mixture of the unreacted 17beta-[2(S)-acetoxypropionyl] derivative (X) and 17beta-[2(R)-(methanesulfonyloxy)propionyl] derivative (XII). The reaction of this mixture with potassium acetate in hot bis(2-methoxyethyl)ether affords pure 17beta-[2(S)-acetoxypropionyl] derivative (X), since the acetolysis of the sulfonate (XII) takes place with inversion of the configuration. Finally, this compound is hydrolyzed with KOH in methanol.

参考文献No.43311
标题:New method of production of 20-keto 21(S)-hydroxy steroid cpds. and intermediates thereof
作者:Mackiewicz, P.; Godard, J.-Y.; Buendia, J.; Richard, C. (Aventis Pharma SA)
来源:EP 0581649; FR 2694007; JP 1994181796; US 5384419
合成路线图解说明:

Trimegestone has been obtained by several related ways: 1) The reaction of 3,3-(ethylenedioxy)estra-5(10),9(11)-dien-17-one (I) with KCN and acetic acid in methanol, followed by silylation with TMSCl, gives the silylated cyanohydrin (II), which is treated with ethylmagnesium bromide in THF to yield the 17beta-propionyl derivative (III). Acetylation of the 17alpha-hydroxy group of (III) with Ac2O affords acetate (IV), which is methylated with MeI and lithium amide in liquid ammonia, giving the 17alpha-methyl derivative (V). The oxidation of (V) with t-BuOK and oxygen in DMF yields the 17beta-(2-oxopropionyl) derivative (VI), which is isomerized with acetic acid/ hydrochloric acid or acetic acid/perchloric acid, affording 17alpha-methyl-17beta-(2-oxopropionyl)estra-4,9-dien-3-one (VII). Finally, this compound is regio- and enantioselectively reduced with Saccharomyces cerevisiae in a sodium acetate buffer. 2) The reaction of the 17alpha-methyl derivative (V) with t-BuOK and iodine in THF gives the 17beta-(2-iodopropionyl) compound (VIII), which by reaction with KOAc in DMF, followed by treatment with acetic acid/perchloric acid as before, is converted into the 17beta-(2-acetoxypropionyl) derivative (IX). Finally, the acetoxy group of (IX) is hydrolyzed with KOH in methanol and the mixture of (R)- and (S)-diastereomers is separated by HPLC over silicagel. 3) The 17beta-(2-acetoxypropionyl) derivative (IX) can also be obtained directly by carefully controlled direct oxidation of the 17alpha-methyl-17beta-propionyl intermediate (V) with dry air in DMF in the presence of t-BuOK and triethyl phosphite. 4) The diastereoselective hydrolysis of the 17beta-(2-acetoxypropionyl) intermediate (IX) with lipase PS Amano in n-butanol/pH = 5 buffer gives a mixture of unreacted 17beta-[2(S)-acetoxypropinyl] derivative (X) and 17beta-[2(R)-hydroxypropionyl] derivative (XI). This mixture, without separation, is treated with methanesulfonyl chloride and Et3N in dichloromethane to yield a new mixture of the unreacted 17beta-[2(S)-acetoxypropionyl] derivative (X) and 17beta-[2(R)-(methanesulfonyloxy)propionyl] derivative (XII). The reaction of this mixture with potassium acetate in hot bis(2-methoxyethyl)ether affords pure 17beta-[2(S)-acetoxypropionyl] derivative (X), since the acetolysis of the sulfonate (XII) takes place with inversion of the configuration. Finally, this compound is hydrolyzed with KOH in methanol.

参考文献No.562880
标题:Synthesis of trimegestone: The first industrial application of Bakers' yeast mediated reduction of a ketone
作者:Prat, D.; Richard, C.; Crocq, V.; Vivat, M.; Masson, C.; Lenay, J.; Winter, J.; Buendia, J.; Lemaitre, G.
来源:Org Process Res Dev 1997,1(1),2-13
合成路线图解说明:

Trimegestone has been obtained by several related ways: 1) The reaction of 3,3-(ethylenedioxy)estra-5(10),9(11)-dien-17-one (I) with KCN and acetic acid in methanol, followed by silylation with TMSCl, gives the silylated cyanohydrin (II), which is treated with ethylmagnesium bromide in THF to yield the 17beta-propionyl derivative (III). Acetylation of the 17alpha-hydroxy group of (III) with Ac2O affords acetate (IV), which is methylated with MeI and lithium amide in liquid ammonia, giving the 17alpha-methyl derivative (V). The oxidation of (V) with t-BuOK and oxygen in DMF yields the 17beta-(2-oxopropionyl) derivative (VI), which is isomerized with acetic acid/ hydrochloric acid or acetic acid/perchloric acid, affording 17alpha-methyl-17beta-(2-oxopropionyl)estra-4,9-dien-3-one (VII). Finally, this compound is regio- and enantioselectively reduced with Saccharomyces cerevisiae in a sodium acetate buffer. 2) The reaction of the 17alpha-methyl derivative (V) with t-BuOK and iodine in THF gives the 17beta-(2-iodopropionyl) compound (VIII), which by reaction with KOAc in DMF, followed by treatment with acetic acid/perchloric acid as before, is converted into the 17beta-(2-acetoxypropionyl) derivative (IX). Finally, the acetoxy group of (IX) is hydrolyzed with KOH in methanol and the mixture of (R)- and (S)-diastereomers is separated by HPLC over silicagel. 3) The 17beta-(2-acetoxypropionyl) derivative (IX) can also be obtained directly by carefully controlled direct oxidation of the 17alpha-methyl-17beta-propionyl intermediate (V) with dry air in DMF in the presence of t-BuOK and triethyl phosphite. 4) The diastereoselective hydrolysis of the 17beta-(2-acetoxypropionyl) intermediate (IX) with lipase PS Amano in n-butanol/pH = 5 buffer gives a mixture of unreacted 17beta-[2(S)-acetoxypropinyl] derivative (X) and 17beta-[2(R)-hydroxypropionyl] derivative (XI). This mixture, without separation, is treated with methanesulfonyl chloride and Et3N in dichloromethane to yield a new mixture of the unreacted 17beta-[2(S)-acetoxypropionyl] derivative (X) and 17beta-[2(R)-(methanesulfonyloxy)propionyl] derivative (XII). The reaction of this mixture with potassium acetate in hot bis(2-methoxyethyl)ether affords pure 17beta-[2(S)-acetoxypropionyl] derivative (X), since the acetolysis of the sulfonate (XII) takes place with inversion of the configuration. Finally, this compound is hydrolyzed with KOH in methanol.

参考文献No.577267
标题:Trimegestone
作者:Leeson, P.A.; Casata馿r, J.; Sorbera, L.A.
来源:Drugs Fut 2000,25(5),465
合成路线图解说明:

Trimegestone has been obtained by several related ways: 1) The reaction of 3,3-(ethylenedioxy)estra-5(10),9(11)-dien-17-one (I) with KCN and acetic acid in methanol, followed by silylation with TMSCl, gives the silylated cyanohydrin (II), which is treated with ethylmagnesium bromide in THF to yield the 17beta-propionyl derivative (III). Acetylation of the 17alpha-hydroxy group of (III) with Ac2O affords acetate (IV), which is methylated with MeI and lithium amide in liquid ammonia, giving the 17alpha-methyl derivative (V). The oxidation of (V) with t-BuOK and oxygen in DMF yields the 17beta-(2-oxopropionyl) derivative (VI), which is isomerized with acetic acid/ hydrochloric acid or acetic acid/perchloric acid, affording 17alpha-methyl-17beta-(2-oxopropionyl)estra-4,9-dien-3-one (VII). Finally, this compound is regio- and enantioselectively reduced with Saccharomyces cerevisiae in a sodium acetate buffer. 2) The reaction of the 17alpha-methyl derivative (V) with t-BuOK and iodine in THF gives the 17beta-(2-iodopropionyl) compound (VIII), which by reaction with KOAc in DMF, followed by treatment with acetic acid/perchloric acid as before, is converted into the 17beta-(2-acetoxypropionyl) derivative (IX). Finally, the acetoxy group of (IX) is hydrolyzed with KOH in methanol and the mixture of (R)- and (S)-diastereomers is separated by HPLC over silicagel. 3) The 17beta-(2-acetoxypropionyl) derivative (IX) can also be obtained directly by carefully controlled direct oxidation of the 17alpha-methyl-17beta-propionyl intermediate (V) with dry air in DMF in the presence of t-BuOK and triethyl phosphite. 4) The diastereoselective hydrolysis of the 17beta-(2-acetoxypropionyl) intermediate (IX) with lipase PS Amano in n-butanol/pH = 5 buffer gives a mixture of unreacted 17beta-[2(S)-acetoxypropinyl] derivative (X) and 17beta-[2(R)-hydroxypropionyl] derivative (XI). This mixture, without separation, is treated with methanesulfonyl chloride and Et3N in dichloromethane to yield a new mixture of the unreacted 17beta-[2(S)-acetoxypropionyl] derivative (X) and 17beta-[2(R)-(methanesulfonyloxy)propionyl] derivative (XII). The reaction of this mixture with potassium acetate in hot bis(2-methoxyethyl)ether affords pure 17beta-[2(S)-acetoxypropionyl] derivative (X), since the acetolysis of the sulfonate (XII) takes place with inversion of the configuration. Finally, this compound is hydrolyzed with KOH in methanol.

Drug Information Express,Drug R&D,Chemical Database,Patent Search.
Copyright © 2006-2026 Drug Future. All rights reserved.Contact Us