【药物名称】L-Deprenyl hydrochloride, Selegiline hydrochloride, FPF-1100, E-250(free base), Zydis selegilline, Deprenyl, Vivapryl, Zelapar, FP, Plurimen, Seledat, Eldepryl, Jumex
化学结构式(Chemical Structure):
参考文献No.182830
标题:Selegiline
作者:Roberts, P.J.; Casta馿r, J.
来源:Drugs Fut 1979,4(2),128
合成路线图解说明:

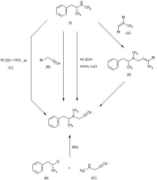
Compound can be prepared in several related ways: 1) The condensation of N-(1-phenylisopropyl)methylamine (I) with 1,2-dibromopropene (A) by heating at 100 C gives N-(1-phenylisopropyl)-N-methyl-2-bromopropenylamine (II), which is then dehydrobrominated and isomerized by treating with KOH in refluxing ethanol water. 2) By heating a mixture of (I) and propargyl bromide (B) at 100 C. 3) By reductocondensation of (I) with propargyl aldehyde (C) by means of amalgamated Al in ethanol. 4) By condensation of (I) with formaldehyde and acetylene by means of CuCl in hot dioxane. 5) By condensation of 1-phenylisopropyl chloride (III) with N-methylpropargylamine (IV) by heating at 80 C in a sealed tube.

参考文献No.699651
标题:Efficient synthesis and formulation of (R)-(-)-[11C]deprenyl, a selective radioligand for the quantification of MAO-B activity using PET
作者:Dolle, F.; et al.
来源:J Label Compd Radiopharm 2002,45(10),803
合成路线图解说明:

The reduction of 11C-CO2 (I) by means of LiAlH4 in THF gives 11C-methanol (II), which is treated with 57 % IH to yield 11C-methyl iodide (III). The reaction of (III) with silver triflate affords 11C-methyl triflate (IV). Finally, (R)(-)-nor-selegiline (nor-deprenil) (V) is methylated with the radiolabeled methyl triflate (IV) by means of NaOH in aqueous acetone to obtain the target radiolabeled compound.

参考文献No.700954
标题:Verfahren zur Herstellung von Phenylisopropylaminen
作者:Ecsery, Z.; et al.
来源:CH 530953; DE 1227447
合成路线图解说明:

Compound can be prepared in several related ways: 1) The condensation of N-(1-phenylisopropyl)methylamine (I) with 1,2-dibromopropene (A) by heating at 100 C gives N-(1-phenylisopropyl)-N-methyl-2-bromopropenylamine (II), which is then dehydrobrominated and isomerized by treating with KOH in refluxing ethanol water. 2) By heating a mixture of (I) and propargyl bromide (B) at 100 C. 3) By reductocondensation of (I) with propargyl aldehyde (C) by means of amalgamated Al in ethanol. 4) By condensation of (I) with formaldehyde and acetylene by means of CuCl in hot dioxane. 5) By condensation of 1-phenylisopropyl chloride (III) with N-methylpropargylamine (IV) by heating at 80 C in a sealed tube.

参考文献No.700955
标题:Verfahren zur Herstellung von Phenylisopropylaminen
作者:Ecsery, Z.; et al.
来源:DE 1568277; NL 6605956
合成路线图解说明:

Compound can be prepared in several related ways: 1) The condensation of N-(1-phenylisopropyl)methylamine (I) with 1,2-dibromopropene (A) by heating at 100 C gives N-(1-phenylisopropyl)-N-methyl-2-bromopropenylamine (II), which is then dehydrobrominated and isomerized by treating with KOH in refluxing ethanol water. 2) By heating a mixture of (I) and propargyl bromide (B) at 100 C. 3) By reductocondensation of (I) with propargyl aldehyde (C) by means of amalgamated Al in ethanol. 4) By condensation of (I) with formaldehyde and acetylene by means of CuCl in hot dioxane. 5) By condensation of 1-phenylisopropyl chloride (III) with N-methylpropargylamine (IV) by heating at 80 C in a sealed tube.

参考文献No.700956
标题:
作者:Ecsery, Z.; et al.
来源:AT 251560
合成路线图解说明:

Compound can be prepared in several related ways: 1) The condensation of N-(1-phenylisopropyl)methylamine (I) with 1,2-dibromopropene (A) by heating at 100 C gives N-(1-phenylisopropyl)-N-methyl-2-bromopropenylamine (II), which is then dehydrobrominated and isomerized by treating with KOH in refluxing ethanol water. 2) By heating a mixture of (I) and propargyl bromide (B) at 100 C. 3) By reductocondensation of (I) with propargyl aldehyde (C) by means of amalgamated Al in ethanol. 4) By condensation of (I) with formaldehyde and acetylene by means of CuCl in hot dioxane. 5) By condensation of 1-phenylisopropyl chloride (III) with N-methylpropargylamine (IV) by heating at 80 C in a sealed tube.

参考文献No.700957
标题:
作者:Ecsery, Z.; et al.
来源:AT 252901
合成路线图解说明:

Compound can be prepared in several related ways: 1) The condensation of N-(1-phenylisopropyl)methylamine (I) with 1,2-dibromopropene (A) by heating at 100 C gives N-(1-phenylisopropyl)-N-methyl-2-bromopropenylamine (II), which is then dehydrobrominated and isomerized by treating with KOH in refluxing ethanol water. 2) By heating a mixture of (I) and propargyl bromide (B) at 100 C. 3) By reductocondensation of (I) with propargyl aldehyde (C) by means of amalgamated Al in ethanol. 4) By condensation of (I) with formaldehyde and acetylene by means of CuCl in hot dioxane. 5) By condensation of 1-phenylisopropyl chloride (III) with N-methylpropargylamine (IV) by heating at 80 C in a sealed tube.

Drug Information Express,Drug R&D,Chemical Database,Patent Search.
Copyright © 2006-2026 Drug Future. All rights reserved.Contact Us