【药物名称】NS-1, OCO-1112
化学结构式(Chemical Structure):
参考文献No.7406
标题:Benzoic acid derivs
作者:Yoshikuni, Y.; Choaki, S.; Ozaki, T.; Yoshida, H. (Nippon Shinyaku Co., Ltd.)
来源:CH 674204; DE 3718765; FR 2600059; GB 2191487; JP 1987292754; JP 1988159359; US 4831055
合成路线图解说明:

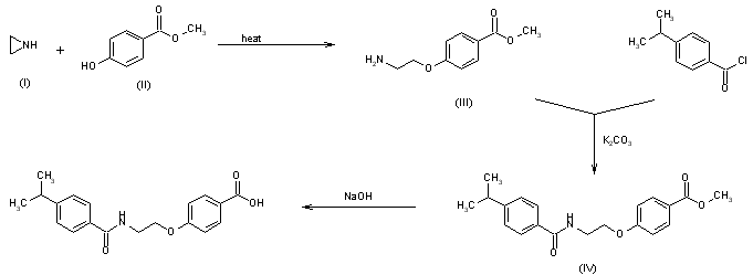
The condensation of aziridine (I) with methyl 4-hydroxybenzoate (II) in refluxing chloroform gives methyl 4-(2-aminoethoxy)benzoate (III), which is acylated with 4-isopropylbenzoyl chloride by means of K2CO3 in chloroform yielding methyl 4-[2-(4-isopropylbenzamido)ethoxy]benzoate (IV). Finally, this compound is hydrolyzed with NaOH in refluxing water.

参考文献No.115186
标题:NS-1
作者:Prous, J.; Casta馿r, J.
来源:Drugs Fut 1990,15(7),682
合成路线图解说明:

The condensation of aziridine (I) with methyl 4-hydroxybenzoate (II) in refluxing chloroform gives methyl 4-(2-aminoethoxy)benzoate (III), which is acylated with 4-isopropylbenzoyl chloride by means of K2CO3 in chloroform yielding methyl 4-[2-(4-isopropylbenzamido)ethoxy]benzoate (IV). Finally, this compound is hydrolyzed with NaOH in refluxing water.

Drug Information Express,Drug R&D,Chemical Database,Patent Search.
Copyright © 2006-2026 Drug Future. All rights reserved.Contact Us