【药物名称】Alendronate sodium, Alendronic acid sodium salt, L-670452, MK-0217, GTH-42(diNa salt), G-704650(trihydrate), MK-217, AHButBP, AHBuBP, Fosamac, Bonalon, Teiroc(former Brand Name), Onclast, Alendros, Fosamax
化学结构式(Chemical Structure):
参考文献No.44744
标题:Novel process for preparing alendronic acid
作者:Lidor-Hadas, R.; et al. (Teva Pharmaceutical Industries Ltd.; Teva Pharmaceuticals USA, Inc.)
来源:WO 0049026
合成路线图解说明:

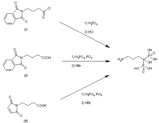
This compound has been obtained by three related ways: 1) The reaction of 4-phthalimido butyryl chloride (I) with phosphorous acid at 130 C, followed by hydrolysis with refluxing 6N HCl gives the target phosphonic acid. 2) The reaction of 4-phthalimido butyric acid (II) with phosphorous acid and phosphorous trichloride at 80 C, followed by hydrolysis with refluxing 48% HBr gives the target phosphonic acid. 3) The reaction of 4-maleimido butyric acid (III) with phosphorous acid and phosphorous trichloride at 80 C, followed by hydrolysis with refluxing 48% HBr gives the target phosphonic acid.

Drug Information Express,Drug R&D,Chemical Database,Patent Search.
Copyright © 2006-2026 Drug Future. All rights reserved.Contact Us