【药物名称】Felbinac ethyl, LJC-10253, LM-001, Traxam, Daitac
化学结构式(Chemical Structure):
参考文献No.8537
标题:Method for the preparation of 4-biphenylacetic acids
作者:Purcell, T.A.; Rivron, L.; Zard, L. (Sanofi-Synth閘abo )
来源:AU 8782884; EP 0272981; FR 2608206; JP 1988185975; US 4810723
合成路线图解说明:

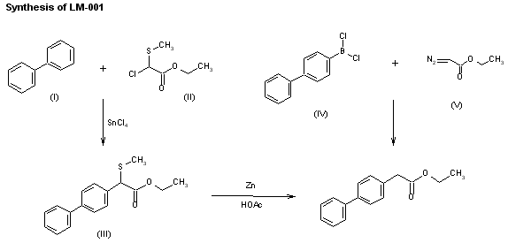
Felbinac ethyl can be obtained in two different ways: 1) The Friedel-Craft's condensation of 2-chloro-2-(methylthio)acetic acid ethyl ester (I) with biphenyl (II) by means of SnCl4 in dichloromethane gives 2-(methylthio)-4-biphenylylacetic acid ethyl ester (III), which is reduced with Zn in acetic acid. 2) By condensation of diazoacetic acid ethyl ester (V) with 4-biphenylyldichloroborane (VI) in THF.

参考文献No.122874
标题:LM-001
作者:Prous, J.; Casta馿r, J.
来源:Drugs Fut 1990,15(11),1077
合成路线图解说明:

Felbinac ethyl can be obtained in two different ways: 1) The Friedel-Craft's condensation of 2-chloro-2-(methylthio)acetic acid ethyl ester (I) with biphenyl (II) by means of SnCl4 in dichloromethane gives 2-(methylthio)-4-biphenylylacetic acid ethyl ester (III), which is reduced with Zn in acetic acid. 2) By condensation of diazoacetic acid ethyl ester (V) with 4-biphenylyldichloroborane (VI) in THF.

参考文献No.131003
标题:The reaction of alkyl- and aryldichloroboranes with ethyl diazoacetate at low temperature
作者:Hooz, J.; Bridson, J.N.; Calzada, J.G.; Brown, H.C.; Midland, M.M.; Levy, A.B.
来源:J Org Chem 1973,38(14),2574-76
合成路线图解说明:

Felbinac ethyl can be obtained in two different ways: 1) The Friedel-Craft's condensation of 2-chloro-2-(methylthio)acetic acid ethyl ester (I) with biphenyl (II) by means of SnCl4 in dichloromethane gives 2-(methylthio)-4-biphenylylacetic acid ethyl ester (III), which is reduced with Zn in acetic acid. 2) By condensation of diazoacetic acid ethyl ester (V) with 4-biphenylyldichloroborane (VI) in THF.

Drug Information Express,Drug R&D,Chemical Database,Patent Search.
Copyright © 2006-2026 Drug Future. All rights reserved.Contact Us