【药物名称】CI-943
化学结构式(Chemical Structure):
参考文献No.109654
标题:The potential antipsychotic activity of 1H-imidazo[1,2-c]pyrazolo[3,4-e]pyrimidines
作者:Wise, L.D.; Heffner, T.G.
来源:Drugs Fut 1989,14(11),1073
合成路线图解说明:

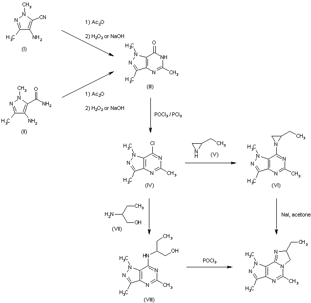
The cyclization of 4-amino-1,3-dimethyl-1H-pyrazole-5-carbonitrile (I) or 4-amino-1,3-dimethyl-1H-pyrazole-5-carboxamide (II) with acetic anhydride and H2O2 or NaOH gives 1,3,5-trimethyl-6,7-dihydro-1H-pyrazolo[4,5-d]pyrimidin-7-one (III), which by reaction with POCl3/PCl3 is converted into 7-chloro-1,3,5-trimethyl-6,7-dihydro-1H-pyrazolo[4,5-d]pyrimidine (IV). The reaction of (IV) with 2-ethylaziridine (V) affords 7-(2-ethylaziridin-1-yl)-1,3,5-trimethyl-6,7-dihydro-1H-pyrazolo[4,5-d]pyrimidine (VI), which is finally rearranged to the tricyclic target compound by means of NaI in acetone.

合成路线图解说明:

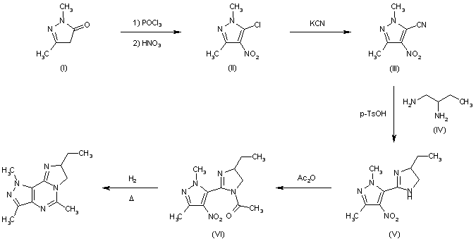
The reaction of 1,3-dimethyl-4,5-dihydro-1H-pyrazol-5-one (I) with POCl3 followed by nitration with HNO3 gives 5-chloro-1,3-dimethyl-4-nitro-1H-pyrazole (II), which is treated with KCN to yield 1,3-dimethyl-4-nitro-1H-pyrazole-5-carbonitrile (III). The cyclization of (III) with butane-1,2-diamine (IV) by means of Ts-OH affords the imidazoline (V), which is acylated with acetic anhydride to provide the 1-acetyl imidazoline (VI). Finally, this compound is cyclized by reduction of its NO2 group followed by heating.

参考文献No.803892
标题:Synthesis and potential antipsychotic activity of 1H-imidazo[1,2-c]pyrazolo[3,4-e]pyrimidines
作者:Beeson, N.W.; Pugsley, T.A.; Coughenour, L.L.; Hershenson, F.; Heffner, T.G.; Downs, D.A.; Wise, L.D.; DeWald, H.A.
来源:J Med Chem 1988,31454-460
合成路线图解说明:

The cyclization of 4-amino-1,3-dimethyl-1H-pyrazole-5-carbonitrile (I) or 4-amino-1,3-dimethyl-1H-pyrazole-5-carboxamide (II) with acetic anhydride and H2O2 or NaOH gives 1,3,5-trimethyl-6,7-dihydro-1H-pyrazolo[4,5-d]pyrimidin-7-one (III), which by reaction with POCl3/PCl3 is converted into 7-chloro-1,3,5-trimethyl-6,7-dihydro-1H-pyrazolo[4,5-d]pyrimidine (IV). The reaction of (IV) with 2-ethylaziridine (V) affords 7-(2-ethylaziridin-1-yl)-1,3,5-trimethyl-6,7-dihydro-1H-pyrazolo[4,5-d]pyrimidine (VI), which is finally rearranged to the tricyclic target compound by means of NaI in acetone.

合成路线图解说明:

The reaction of 1,3-dimethyl-4,5-dihydro-1H-pyrazol-5-one (I) with POCl3 followed by nitration with HNO3 gives 5-chloro-1,3-dimethyl-4-nitro-1H-pyrazole (II), which is treated with KCN to yield 1,3-dimethyl-4-nitro-1H-pyrazole-5-carbonitrile (III). The cyclization of (III) with butane-1,2-diamine (IV) by means of Ts-OH affords the imidazoline (V), which is acylated with acetic anhydride to provide the 1-acetyl imidazoline (VI). Finally, this compound is cyclized by reduction of its NO2 group followed by heating.

参考文献No.803893
标题:Synthesis and structure-activity relationships of pyrazolo[4,3-d]pyrimidin-7-ones as adenosine receptor antagonists
作者:Bristol, J.A.; Hamilton, H.W.; Worth, D.F.; Ortwine, D.F.
来源:J Med Chem 1987,3091-96
合成路线图解说明:

The cyclization of 4-amino-1,3-dimethyl-1H-pyrazole-5-carbonitrile (I) or 4-amino-1,3-dimethyl-1H-pyrazole-5-carboxamide (II) with acetic anhydride and H2O2 or NaOH gives 1,3,5-trimethyl-6,7-dihydro-1H-pyrazolo[4,5-d]pyrimidin-7-one (III), which by reaction with POCl3/PCl3 is converted into 7-chloro-1,3,5-trimethyl-6,7-dihydro-1H-pyrazolo[4,5-d]pyrimidine (IV). The reaction of (IV) with 2-ethylaziridine (V) affords 7-(2-ethylaziridin-1-yl)-1,3,5-trimethyl-6,7-dihydro-1H-pyrazolo[4,5-d]pyrimidine (VI), which is finally rearranged to the tricyclic target compound by means of NaI in acetone.

合成路线图解说明:

The reaction of 1,3-dimethyl-4,5-dihydro-1H-pyrazol-5-one (I) with POCl3 followed by nitration with HNO3 gives 5-chloro-1,3-dimethyl-4-nitro-1H-pyrazole (II), which is treated with KCN to yield 1,3-dimethyl-4-nitro-1H-pyrazole-5-carbonitrile (III). The cyclization of (III) with butane-1,2-diamine (IV) by means of Ts-OH affords the imidazoline (V), which is acylated with acetic anhydride to provide the 1-acetyl imidazoline (VI). Finally, this compound is cyclized by reduction of its NO2 group followed by heating.

参考文献No.803894
标题:Potential purine antagonists. VII. Synthesis of 6-alkylpyrazolo[3,4-d]pyrimidines
作者:Cheng, C.C.; Robins, R.K.
来源:J Org Chem 1958,23191-200
合成路线图解说明:

The cyclization of 4-amino-1,3-dimethyl-1H-pyrazole-5-carbonitrile (I) or 4-amino-1,3-dimethyl-1H-pyrazole-5-carboxamide (II) with acetic anhydride and H2O2 or NaOH gives 1,3,5-trimethyl-6,7-dihydro-1H-pyrazolo[4,5-d]pyrimidin-7-one (III), which by reaction with POCl3/PCl3 is converted into 7-chloro-1,3,5-trimethyl-6,7-dihydro-1H-pyrazolo[4,5-d]pyrimidine (IV). The reaction of (IV) with 2-ethylaziridine (V) affords 7-(2-ethylaziridin-1-yl)-1,3,5-trimethyl-6,7-dihydro-1H-pyrazolo[4,5-d]pyrimidine (VI), which is finally rearranged to the tricyclic target compound by means of NaI in acetone.

Drug Information Express,Drug R&D,Chemical Database,Patent Search.
Copyright © 2006-2026 Drug Future. All rights reserved.Contact Us