【药物名称】Batanopride hydrochloride, BMY-25801-01, BMY-25801 free base
化学结构式(Chemical Structure):
参考文献No.74342
标题:Substituted benzamides. 1. Potential nondopaminergic antagonists of chemotherapy-induced nausea and emesis
作者:Monkovic, I.; Willner, D.; Adam, M.A.; Brown, M.; Crenshaw, R.R.; Fuller, C.E.; Juby, P.F.; Luke, G.M.; Matiskella, J.A.; Montzka, T.A.
来源:J Med Chem 1988,31(8),1548-58
合成路线图解说明:

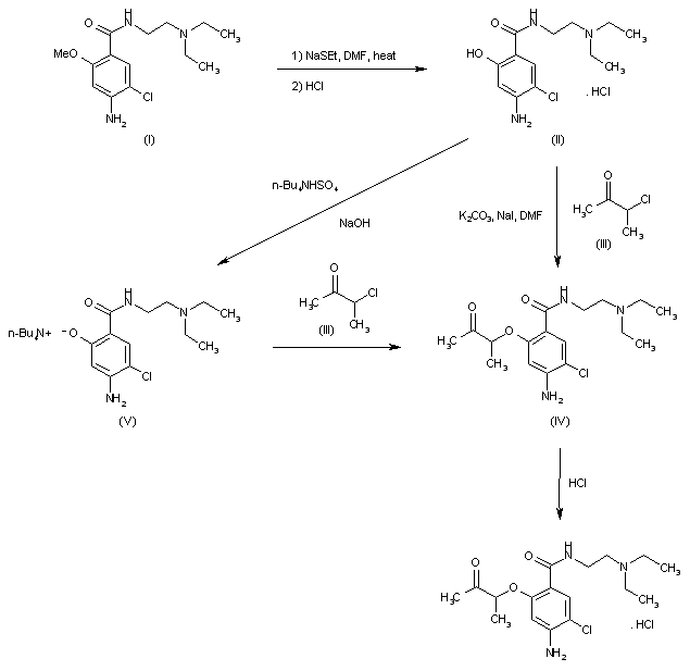
The demethylation of 4-amino-5-chloro-N-[2-(diethylamino)ethyl]-2-methoxybenzamide (I) with EtS-Na in hot DMF gives the hydroxy compound (II), which is acylated with 3-chloro-2-butanone (III) by means of K2CO3 and NaI in DMF to yield 4-amino-5-chloro-N-[2-(diethylamino)ethyl]-2-(1-methyl-2-oxopropoxy)benzamide (IV). Finally, this compound is treated with HCl to furnish the target hydrochloride. Alternatively, the alkylation of the hydroxy compound (II) can also be performed by reaction of (II) with tetrabutylammonium bisulfate and NaOH to give the tetrabutylammonium phenolate (V), which is alkylated with the chlorobutanone (III) to give (IV).

参考文献No.101094
标题:NEW BENZAMIDE ANTI-EMETICS
作者:Monkovic, I.
来源:Drugs Fut 1989,14(1),41
合成路线图解说明:

The demethylation of 4-amino-5-chloro-N-[2-(diethylamino)ethyl]-2-methoxybenzamide (I) with EtS-Na in hot DMF gives the hydroxy compound (II), which is acylated with 3-chloro-2-butanone (III) by means of K2CO3 and NaI in DMF to yield 4-amino-5-chloro-N-[2-(diethylamino)ethyl]-2-(1-methyl-2-oxopropoxy)benzamide (IV). Finally, this compound is treated with HCl to furnish the target hydrochloride. Alternatively, the alkylation of the hydroxy compound (II) can also be performed by reaction of (II) with tetrabutylammonium bisulfate and NaOH to give the tetrabutylammonium phenolate (V), which is alkylated with the chlorobutanone (III) to give (IV).

参考文献No.158786
标题:Synthesis of 4-amino-5-chloro-N[2-(diethylamino)ethyl]-2-[(butan-2-on-3-yl)oxy]-[carbonyl-C-14]benzamide hydrochloride (C-14-batanopride)
作者:Standridge, R.T.; Swigor, J.E.
来源:J Label Compd Radiopharm 1991,29(9),983
合成路线图解说明:

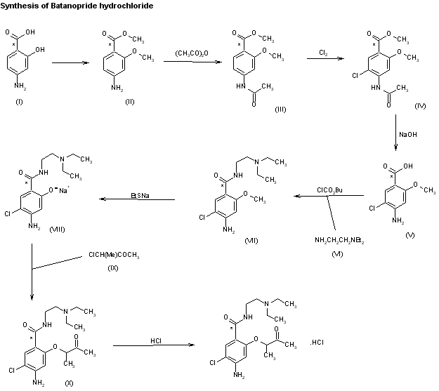
A new synthesis for [14C]-labeled batanopride has been described: The starting material is 4-amino-2-hydroxybenzoic acid labeled with [14C] at the carboxy group (I). The methylation of (I) in the usual way gives 4-amino-2-methoxybenzoic acid methyl ester (II), which is treated with acetic anhydride to yield the corresponding acetamido derivative (III). Chlorination of (III) with Cl2 in acetic acid affords 4-acetamido-5-chloro-2-methoxybenzoic acid methyl ester (IV), which is hydrolyzed with aqueous NaOH to 4-amino-5-chloro-2-methoxybenzoic acid (V). The condensation of (V) with 2-(diethylamino)ethylamine (VI) by means of triethylamine and isobutyl chloroformate in THF gives the corresponding amide (VII), which is demethylated with sodium ethanethiolate in DMF to yield the phenolate (VIII). The condensation of (VIII) with 3-chloro-2-butanone (IX) in DMF affords batanopride free base (X), which is finally treated with HCl in acetone - water.

Drug Information Express,Drug R&D,Chemical Database,Patent Search.
Copyright © 2006-2026 Drug Future. All rights reserved.Contact Us