【药物名称】BW-B385C
化学结构式(Chemical Structure):
参考文献No.62414
标题:BW-B385C
作者:Allan, G.; Hardy, G.W.
来源:Drugs Fut 1988,13(3),203
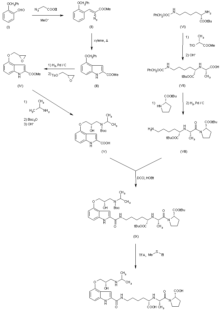
合成路线图解说明:

Thermal cyclization of the azidocinnamate (II), obtained from O-benzylsalicylaldehyde (I) by methoxide condensation with ethyl azidoacetate, provides methyl 4-benzyloxyindol-2-carboxylate (III). Debenzylation by catalytic hydrogenolysis and alkylation of the phenol with (2S)-glycidyl tosylate gives the chiral oxirane (IV). Ring opening of (IV) followed by protection of the secondary amine by reaction with di-tert-butyldicarbonate and saponification of the methyl ester gives the key (S)-beta-blocker synthon (V). The required ACE inhibitor svnthon (VIII) is assembled from tert-butyl-N'-benzyloxycarbonyl-(S)-lysinate (VI). Alkylation of the alpha-amino group with the triflate of methyl (R)-lactate and saponification of the methyl ester gives N-[5-benzyloxycarbonylamino-1-(S)-tert-butyloxycarbonylpent-1-yl-(S)-alanine (VII). Condensation of (VII) with tert-butyl-(S)-prolinate. mediated by dicyclohexylcarbodiimide and 1-hydroxybenzotriazole, followed by hydrogenolytic removal of the benzyloxycarbonyl group, provides tert-butyl-N-[5-amino-1-(S)-tert-butyloxycarbonylpent-1-yl]-(S)-alanyl-(S)-prolinate (VIII). Coupling of (V) with (VIII) using dicyclohexylcarbodiimide-1-hydroxybenzotriazole and removal of the tert-butyl protecting groups by acidolysis in trifluoroacetic acid, with ethyl methyl sulfide as a scavenger, gives crude BW-8385C as the bistrifluoroacetate salt. Purification is achieved by ion exchange chromatography on DE52 cellulose, followed by reverse-phase desalting to provide pure BW-B385C as the zwitterionic trihydrate.

Drug Information Express,Drug R&D,Chemical Database,Patent Search.
Copyright © 2006-2026 Drug Future. All rights reserved.Contact Us