【药物名称】Flurbiprofen axetil, FP-83, Ropion
化学结构式(Chemical Structure):
参考文献No.271
标题:Ester of flurbiprofen and emulsion containing the same
作者:Mizushima, Y.; Uchida, K.; Masumoto, S.; Tohno, M.; Hashimoto, Y.; Yokoyama, K.; Okamoto, H.; Nabeta, K.; Suyama, T. (Welfide Corporation)
来源:EP 0129435; JP 1985001122; US 4613505
合成路线图解说明:

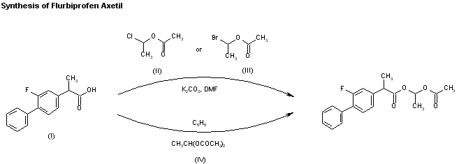
By esterification of 2-(2-fluoro-4-biphenylyl)propionic acid (I) with 1-(acetoxy)ethyl chloride (II) or 1-(acetoxy)ethyl bromide (III) by means of anhydrous K2CO3 in DMF or by transesterification of the acid (I) and ethylidene diacetate (IV) in benzene.

参考文献No.15287
标题:Biphenylpropionic acid deriv., process for preparing the same and pharmaceutical compsn. containing the same
作者:Uchida, K.; Masumoto, S.; Tohno, M.; Mimura, M.; Okumura, M.; Ichikawa, K.; Matsumura, M. (Kaken Pharmaceutical Co., Ltd.)
来源:EP 0103265; US 5196567
合成路线图解说明:

By esterification of 2-(2-fluoro-4-biphenylyl)propionic acid (I) with 1-(acetoxy)ethyl chloride (II) or 1-(acetoxy)ethyl bromide (III) by means of anhydrous K2CO3 in DMF or by transesterification of the acid (I) and ethylidene diacetate (IV) in benzene.

参考文献No.182201
标题:Liposomal Flurbiprofen Axetil
作者:Prous, J.; Casta馿r, J.
来源:Drugs Fut 1992,17(9),788
合成路线图解说明:

By esterification of 2-(2-fluoro-4-biphenylyl)propionic acid (I) with 1-(acetoxy)ethyl chloride (II) or 1-(acetoxy)ethyl bromide (III) by means of anhydrous K2CO3 in DMF or by transesterification of the acid (I) and ethylidene diacetate (IV) in benzene.

参考文献No.700770
标题:Method for the preparation of 1-acetoxyethyl 2-(2-fluoro-4-biphenylyl)propionate
作者:Mimura, M.; Uchida, K.; Ieda, T.; et al.
来源:JP 89211550
合成路线图解说明:

By esterification of 2-(2-fluoro-4-biphenylyl)propionic acid (I) with 1-(acetoxy)ethyl chloride (II) or 1-(acetoxy)ethyl bromide (III) by means of anhydrous K2CO3 in DMF or by transesterification of the acid (I) and ethylidene diacetate (IV) in benzene.

Drug Information Express,Drug R&D,Chemical Database,Patent Search.
Copyright © 2006-2026 Drug Future. All rights reserved.Contact Us