【药物名称】CGP-28014
化学结构式(Chemical Structure):
参考文献No.7329
标题:Pyridine derivs
作者:Von Sprecher, G.; Waldmeier, P. (Novartis AG)
来源:EP 0239533; JP 1987226959; US 4683938
合成路线图解说明:

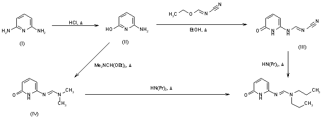
The hydrolysis of 2,6-diaminopyridine (I) in 36% aqueous hydrochloric acid leads to 2-amino-6-hydroxypyridine (II), which can be converted by several ways to the final product CGP 28014. Two are described here: a) Conversion of 2-amino-6-hydroxypyridine (II) with N,N-dimethylformamide diethylacetal gives the N-(2-oxopyridin-6-yl)-N',N'-dimethylformamidine (IV), which is transaminated with dipropylamine to CGP 28014. b) Reaction of 2-amino-6-hydroxypyridine (II) with ethyl-N-cyanoformimidate (2) yields N-(2-oxopyridin-6-yl)-N'-cyanoformamidine (III), which is heated with dipropylamine to give CGP 28014.

参考文献No.170294
标题:CGP 28014
作者:M鯾ius, H.J.; Waldmeier, P.C.; Von Sprecher, G.
来源:Drugs Fut 1992,17(4),275
合成路线图解说明:

The hydrolysis of 2,6-diaminopyridine (I) in 36% aqueous hydrochloric acid leads to 2-amino-6-hydroxypyridine (II), which can be converted by several ways to the final product CGP 28014. Two are described here: a) Conversion of 2-amino-6-hydroxypyridine (II) with N,N-dimethylformamide diethylacetal gives the N-(2-oxopyridin-6-yl)-N',N'-dimethylformamidine (IV), which is transaminated with dipropylamine to CGP 28014. b) Reaction of 2-amino-6-hydroxypyridine (II) with ethyl-N-cyanoformimidate (2) yields N-(2-oxopyridin-6-yl)-N'-cyanoformamidine (III), which is heated with dipropylamine to give CGP 28014.

参考文献No.802037
标题:A new convenient synthesis of H2-aryl-H1-alkylformamidines and N2-aryl-N1,N1-dialkylformamidines
作者:Donetti, A.; Bellora, E.; Cereda, E.
来源:Synthesis 1986,288-91
合成路线图解说明:

The hydrolysis of 2,6-diaminopyridine (I) in 36% aqueous hydrochloric acid leads to 2-amino-6-hydroxypyridine (II), which can be converted by several ways to the final product CGP 28014. Two are described here: a) Conversion of 2-amino-6-hydroxypyridine (II) with N,N-dimethylformamide diethylacetal gives the N-(2-oxopyridin-6-yl)-N',N'-dimethylformamidine (IV), which is transaminated with dipropylamine to CGP 28014. b) Reaction of 2-amino-6-hydroxypyridine (II) with ethyl-N-cyanoformimidate (2) yields N-(2-oxopyridin-6-yl)-N'-cyanoformamidine (III), which is heated with dipropylamine to give CGP 28014.

Drug Information Express,Drug R&D,Chemical Database,Patent Search.
Copyright © 2006-2026 Drug Future. All rights reserved.Contact Us