【药物名称】Zinviroxime((Z)-isomer), Enviroxime, AR-336, LY-122772
化学结构式(Chemical Structure):
参考文献No.63494
标题:AR-336
作者:Casta馿r, J.; Hopkins, S.J.
来源:Drugs Fut 1980,5(3),120
合成路线图解说明:

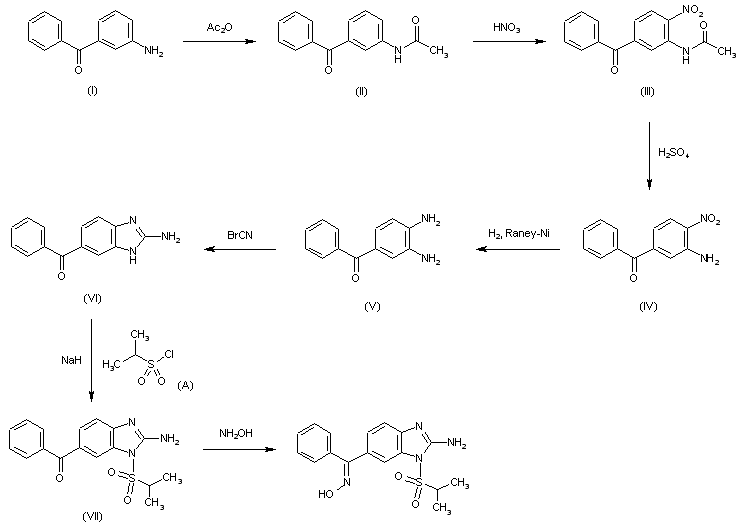
The acetylation of 4-aminobenzophenone (I) with acetic anhydride in hot benzene gives 4-acetamidobenzophenone (II), which is nitrated with 90% HNO3 in acetic acid-acetic anhydride yielding 4-acetamido-3-nitrobenzophenone (III). The hydrolysis of (III) with H2SO4 affords 4-amino-3-nitrobenzophenone (IV), which is reduced with H2 over Raney-Ni in THF to give 3,4-diaminobenzophenone (V). The cyclization of (V) with cyanogen bromide in methanol-water gives rise to 2-amino-5-benzoylbenzimidazol (VI), which is treated with isopropylsulfonyl chloride (A) and NaH in dimethoxyethane affording 2-amino-1-isopropylsulfonyl-6-benzoylbenzimidazol (VII). Finally, this compound is treated with hydroxylamine hydrochloride in refluxing methanol.

参考文献No.701404
标题:
作者:Paget, C.J.; et al.
来源:DE 2638551
合成路线图解说明:

The acetylation of 4-aminobenzophenone (I) with acetic anhydride in hot benzene gives 4-acetamidobenzophenone (II), which is nitrated with 90% HNO3 in acetic acid-acetic anhydride yielding 4-acetamido-3-nitrobenzophenone (III). The hydrolysis of (III) with H2SO4 affords 4-amino-3-nitrobenzophenone (IV), which is reduced with H2 over Raney-Ni in THF to give 3,4-diaminobenzophenone (V). The cyclization of (V) with cyanogen bromide in methanol-water gives rise to 2-amino-5-benzoylbenzimidazol (VI), which is treated with isopropylsulfonyl chloride (A) and NaH in dimethoxyethane affording 2-amino-1-isopropylsulfonyl-6-benzoylbenzimidazol (VII). Finally, this compound is treated with hydroxylamine hydrochloride in refluxing methanol.

Drug Information Express,Drug R&D,Chemical Database,Patent Search.
Copyright © 2006-2026 Drug Future. All rights reserved.Contact Us