【药物名称】Salbutamol sulfate, Albuterol sulfate, AH-3365, Pediavent, Ventoline, Ventolin, Proventil-HFA, Proventil, Volmax, Ventolin easy-breathe, Salbutamol Diskus, Proventil Repetabs, Ventolin Nebules, Buventol Easyhaler, Accuvent, Pulvinal salbutamol, Sultanol,
化学结构式(Chemical Structure):
参考文献No.607664
标题:Saligenin analogs of sympathomimetic catecholamines
作者:Collin, D.T.; Hartley, D.; Jack, D.; Lunts, L.H.; Press, J.C.; Ritchie, A.C.; Toon, P.
来源:J Med Chem 1970,13(4),674-680
合成路线图解说明:

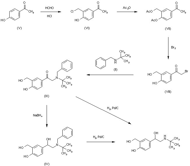
The chloromethylation of 4-hydroxyacetophenone (V) with formaldehyde and HCl in hot water gives 3-chloromethyl-4-hydroxyacetophenone (VI), which is treated with acetic anhydride-sodium acetate in refluxing acetic acid to afford 3-acetoxymethyl-4-acetoxyacetophenone (VII). The bromination of (VII) with Br2 in chloroform yields after hydrolysis 3-hydroxymethyl-4-hydroxyphenacyl bromide (VIII), which is condensed with benzyl tert-butylamine (II) in refluxing benzene giving alpha-(N-benzyl-N-tert-butylamino)-4-hydroxy-3-hydroxymethylacetophenone (IX). Finally, this compound is hydrogenated with H2 over Pd/C in ethanol. An alternative method of hydrogenation of (IX) is its reduction with NaBH4 - ethanol, to afford the previously obtained product (IV), which is reduced with H2 over Pd/C in ethanol.

参考文献No.701482
标题:
作者:Lunts, L.H.C.; et al.
来源:GB 1200886
合成路线图解说明:

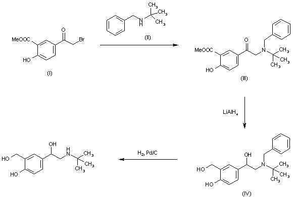
The reaction of methyl 5-bromoacetylsalicylate (I) with benzyl tert-butylamine (II) in methyl ethyl ketone gives methyl 5-(N-benzyl-N-tert-butyl-gycyl)salicylate (III), which is reduced with LiAlH4 in refluxing THF yielding alpha'-(N-benzyl-N-tert-butylami-nomethyl)-4-hydroxy-m-xylene-alpha,alpha'-diol (IV). Finally, this compound is debenzylated by hydrogenation with H2 over Pd/C in ethanol-water.

合成路线图解说明:

The chloromethylation of 4-hydroxyacetophenone (V) with formaldehyde and HCl in hot water gives 3-chloromethyl-4-hydroxyacetophenone (VI), which is treated with acetic anhydride-sodium acetate in refluxing acetic acid to afford 3-acetoxymethyl-4-acetoxyacetophenone (VII). The bromination of (VII) with Br2 in chloroform yields after hydrolysis 3-hydroxymethyl-4-hydroxyphenacyl bromide (VIII), which is condensed with benzyl tert-butylamine (II) in refluxing benzene giving alpha-(N-benzyl-N-tert-butylamino)-4-hydroxy-3-hydroxymethylacetophenone (IX). Finally, this compound is hydrogenated with H2 over Pd/C in ethanol. An alternative method of hydrogenation of (IX) is its reduction with NaBH4 - ethanol, to afford the previously obtained product (IV), which is reduced with H2 over Pd/C in ethanol.

参考文献No.800536
标题:Albuterol
作者:Casta馿r, J.; Blancafort, P.; Serradell, M.N.; Hopkins, S.J.
来源:Drugs Fut 1979,4(9),629
合成路线图解说明:

The reaction of methyl 5-bromoacetylsalicylate (I) with benzyl tert-butylamine (II) in methyl ethyl ketone gives methyl 5-(N-benzyl-N-tert-butyl-gycyl)salicylate (III), which is reduced with LiAlH4 in refluxing THF yielding alpha'-(N-benzyl-N-tert-butylami-nomethyl)-4-hydroxy-m-xylene-alpha,alpha'-diol (IV). Finally, this compound is debenzylated by hydrogenation with H2 over Pd/C in ethanol-water.

合成路线图解说明:

The chloromethylation of 4-hydroxyacetophenone (V) with formaldehyde and HCl in hot water gives 3-chloromethyl-4-hydroxyacetophenone (VI), which is treated with acetic anhydride-sodium acetate in refluxing acetic acid to afford 3-acetoxymethyl-4-acetoxyacetophenone (VII). The bromination of (VII) with Br2 in chloroform yields after hydrolysis 3-hydroxymethyl-4-hydroxyphenacyl bromide (VIII), which is condensed with benzyl tert-butylamine (II) in refluxing benzene giving alpha-(N-benzyl-N-tert-butylamino)-4-hydroxy-3-hydroxymethylacetophenone (IX). Finally, this compound is hydrogenated with H2 over Pd/C in ethanol. An alternative method of hydrogenation of (IX) is its reduction with NaBH4 - ethanol, to afford the previously obtained product (IV), which is reduced with H2 over Pd/C in ethanol.

Drug Information Express,Drug R&D,Chemical Database,Patent Search.
Copyright © 2006-2026 Drug Future. All rights reserved.Contact Us