【药物名称】Mosapride citrate, TAK-370, AS-4370, Gasmotin
化学结构式(Chemical Structure):
参考文献No.145837
标题:Novel benzamides as selective and potent gastrokinetic agents. 2. Synthesis and structure-activity relationships of 4-amino-5-chloro-2-ethoxy-N-[[4-(4-fluorobenzyl)-2-morpholinyl]methyl] benzamide citrate (AS-4370) and related compounds
作者:Kato, S.; Morie, T.; Kon, T.; Yoshida, N.; Karasawa, T.; Matsumoto, J.
来源:J Med Chem 1991,34(2),616-24
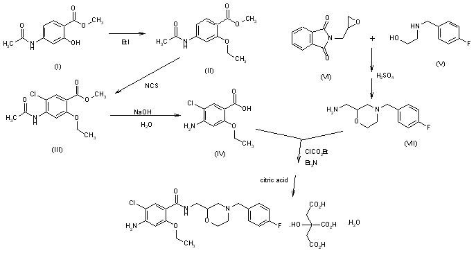
合成路线图解说明:

The starting compounds (IV) and (VII) are obtained as follows: a) Methyl 4-acetylamino-2-hydroxybenzoate (I) is converted to the 2-ethoxy derivative (II) with ethyl iodide, and then chlorination of (II) with N-chlorosuccinimide followed by alkaline hydrolysis of (III) gives benzoic acid (IV). b) The reaction of 2-[(4-fluorobenzyl)amino]ethanol (V) with N-(2,3-epoxypropyl)phthalimide (VI), followed by treatment with concentrated sulfuric acid, affords intermediate (VII). The condensation of 4-Amino-5-chloro-2-ethoxybenzoic acid (IV) with 4-(4-fluorobenzyl)-2-(methylamino) morpholine (VII) by means of ethyl chloroformate and triethylamine in CHCl3 gives 4-amino-5-chloro-2-ethoxy-N-[[4-(4-fluorobenzyl)-2-morpholinyl]methyl] benzamide, which is converted to mosapride citrate, by treatment with citric acid.

参考文献No.190644
标题:Novel benzamides as selective and potent gastrokinetic agents. 1. Synthesis and structure-activity relationships of N[4-(2-morpholinyl)alkyl]benzamides
作者:Morie, T.; Naruto, S.; Yoshida, N.; Kato, S.; Karasawa, T.; Kon, T.; Matsumoto, J.; Hino, K.
来源:J Med Chem 1990,33(5),1406-13
合成路线图解说明:

The starting compounds (IV) and (VII) are obtained as follows: a) Methyl 4-acetylamino-2-hydroxybenzoate (I) is converted to the 2-ethoxy derivative (II) with ethyl iodide, and then chlorination of (II) with N-chlorosuccinimide followed by alkaline hydrolysis of (III) gives benzoic acid (IV). b) The reaction of 2-[(4-fluorobenzyl)amino]ethanol (V) with N-(2,3-epoxypropyl)phthalimide (VI), followed by treatment with concentrated sulfuric acid, affords intermediate (VII). The condensation of 4-Amino-5-chloro-2-ethoxybenzoic acid (IV) with 4-(4-fluorobenzyl)-2-(methylamino) morpholine (VII) by means of ethyl chloroformate and triethylamine in CHCl3 gives 4-amino-5-chloro-2-ethoxy-N-[[4-(4-fluorobenzyl)-2-morpholinyl]methyl] benzamide, which is converted to mosapride citrate, by treatment with citric acid.

参考文献No.209477
标题:Mosapride Citrate
作者:Kato, S.; Yoshida, N.; Ito, T.
来源:Drugs Fut 1993,18(6),513
合成路线图解说明:

The starting compounds (IV) and (VII) are obtained as follows: a) Methyl 4-acetylamino-2-hydroxybenzoate (I) is converted to the 2-ethoxy derivative (II) with ethyl iodide, and then chlorination of (II) with N-chlorosuccinimide followed by alkaline hydrolysis of (III) gives benzoic acid (IV). b) The reaction of 2-[(4-fluorobenzyl)amino]ethanol (V) with N-(2,3-epoxypropyl)phthalimide (VI), followed by treatment with concentrated sulfuric acid, affords intermediate (VII). The condensation of 4-Amino-5-chloro-2-ethoxybenzoic acid (IV) with 4-(4-fluorobenzyl)-2-(methylamino) morpholine (VII) by means of ethyl chloroformate and triethylamine in CHCl3 gives 4-amino-5-chloro-2-ethoxy-N-[[4-(4-fluorobenzyl)-2-morpholinyl]methyl] benzamide, which is converted to mosapride citrate, by treatment with citric acid.

参考文献No.262217
标题:Synthesis and biological activities of the optical isomers of (?-4-amino-5-chloro-2-ethoxy-N-[[4-(4-fluorobenzyl)-2-morpholinyl]methyl]benzamide (mosapride)
作者:Harada, H.; Matsumoto, J.; Morie, T.; Yoshida, N.; Kato, S.
来源:Chem Pharm Bull 1994,42(4),877
合成路线图解说明:

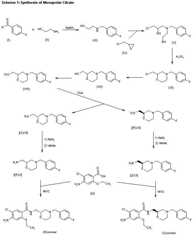
The synthesis of the optical enantiomers of mosapride has been described: The reductocondensation of 4-fluorobenzaldehyde (I) with ethanolamine (II) by means of NaBH4 and NaHCO3 in refluxing methanol gives 2-(4-fluorobenzylamino)ethanol (III), which is condensed with epichlorohydrin (IV) to yield the diol (V). Compound (V), without isolation, is cyclized with conc. H2SO4 to afford 2-(chloromethyl)-4-(4-fluorobenzyl)morpholine (VI), which is treated with refluxing water-formamide to afford the corresponding methanol derivative (VII). Tosylation of (VII) with tosyl chloride and triethylamine/4-(dimethylamino)pyridine in dichloromethane gives the tosylate (VIII) as a racemic mixture. The optical resolution of (VIII) with N-(p-toluenesulfonyl)-L-glutamic acid in methanol affords the (S)-tosylate [(S)-IX] and the (R)-tosylate [(R)-IX]. The reaction of both [(S)-IX] and [(R)-IX] with sodium azide followed by reduction with bis(2-methoxyethoxy)aluminum hydride (vitride) gives the chiral amines [(S)-X] and [(R)-X], which are finally condensed with 4-amino-5-chloro-2-ethoxybenzoic acid (XI) by means of 1-[3-(dimethylamino)propyl]-3-ethylcarbodiimide (WSC) in dichloromethane, yielding the (S)- and (R)-enantiomers of mosapride.

合成路线图解说明:

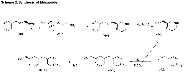
The chiral sulfonate [(R)-IX] has been obtained in a different way: The cyclization of 2(S)-(benzyloxymethyl)oxirane (XII) with 2-aminoethyl hydrogen sulfate sodium salt (XIII) by means of NaOH in methanol gives 2(R)-(benzyloxymethyl)morpholine (XIV), which is debenzylated by hydrogenation with H2 over Pd/C in ethanol to the chiral alcohol (XV). The condensation of (XV) with 4-fluorobenzyl chloride (XVI) by means of K2CO3 and NaI in refluxing butanone affords 4-(4-fluorobenzyl)-2(R)-(hydroxymethyl)morpholine (XVII), which is finally tosylated with tosyl chloride as before to afford [(R)-IX], already obtained.

参考文献No.321822
标题:Synthesis and biological activities of metabolites of mosapride, a new gastroprokinetic agent
作者:Kato, S.; Morie, T.; Yoshida, N.
来源:Chem Pharm Bull 1995,43(4),699
合成路线图解说明:

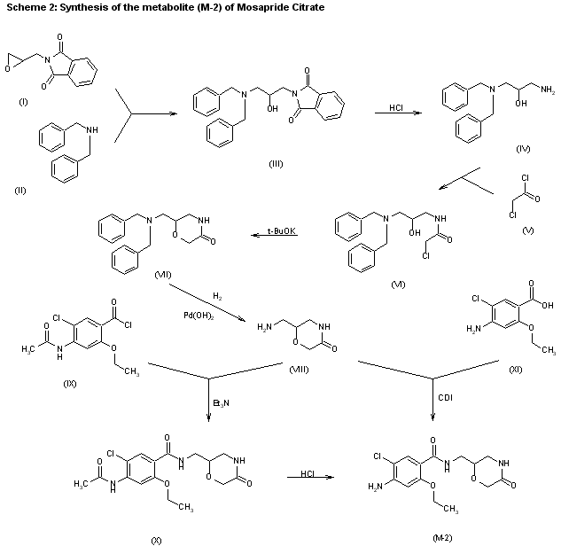
The synthesis of the metabolites of mosapride, 4-amino-5-chloro-2-ethoxy-N-(2-morpholinylmethyl)benzamide (M-1) and 4-amino-5-chloro-2-ethoxy-N-(5-oxo-2-morpholinylmethyl)benzamide (M-2), has been described: 1) The hydrogenolysis of mosapride (I) with H2 over 10% Pd/C in aqueous ethanol/acetic acid gives 4-amino-2-ethoxy-N-(2-morpholinylmethyl)benzamide (II), which is acetylated with acetic anhydride in methanol/CHCl3, yielding the corresponding diacetyl derivative (III). The chlorination of (III) with N-chlorosuccinimide (NCS) in DMF affords the 5-chloro derivative (IV), which is finally deacetylated with refluxing 10% HCl, yielding the metabolite M-1 as the hydrochloride salt.

合成路线图解说明:

2) The reaction of N-(2,3-epoxypropyl)phthalimide (I) with dibenzylamine (II) at 80 C gives 1-(dibenzylamino)-3-(phthalimido)-2-propanol (III), which is hydrolyzed with refluxing concentrated HCl to afford 1-amino-3-(dibenzylamino)-2-propanol (IV). The acylation of (IV) with chloroacetyl chloride (V) in CHCl3 yields the corresponding chloroacetamide (VI), which is cyclized by means of potassium tert-butoxide in refluxing ethanol to give 6-(dibenzylaminomethyl)morpholin-3-one (VII). The debenzylation of (VII) with H2 over Pd(OH)2/C in ethanol yields 6-(aminomethyl)morpholin-3-one (VIII), which is condensed with 4-(acetamido)-5-chloro-2-ethoxybenzoyl chloride (IX) by means of triethylamine in CHCl3 to afford the monoacetylated derivative of metabolite M-2 (X). Finally, this compound is hydrolyzed with HCl in refluxing ethanol/water to give metabolite M-2. The two final steps of this sequence can also be performed in a single step by condensation of morpholinone (VIII) with 4-amino-5-chloro-2-ethoxybenzoic acid (XI) by means of carbonyldiimidazole (CDI) in THF to afford directly the metabolite M-2 after neutralization with aqueous NH4OH.

参考文献No.331836
标题:Synthesis of deuterated mosapride citrate
作者:Kato, S.; Hirokawa, Y.
来源:J Label Compd Radiopharm 1995,36(10),927
合成路线图解说明:

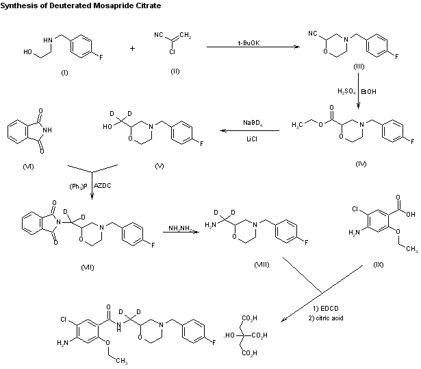
The synthesis of deuterated mosapride citrate has been reported: The cyclization of N-(4-fluorobenzyl)ethanolamine (I) with 2-chloroacrylonitrile (II) in ethyl ether gives 4-(4-fluorobenzyl)morpholine-2-carbonitrile (III), which is submitted to alcoholysis with ethanol and H2SO4, yielding the corresponding ethyl ester (IV). The reduction of (IV) with deuterated sodium borohydride (NaBD4) in THF affords the deuterated hydroxymethyl derivative (V), which is condensed with phthalimide (VI) by means of triphenylphosphine and dimethyl azodicarboxylate (AZDC) in THF to give the N-substituted phthalimide (VII). The cleavage of (VII) with hydrazine hydrate in refluxing ethanol yields the deuterated methylamine derivative (VIII), which is finally condensed with 4-amino-5-chloro-2-ethoxybenzoic acid (IX) by means of 1-ethyl-3-[3-(dimethylamino)propyl]carbodiimide (EDCD) in dichloromethane, and treated with citric acid in the usual way.

参考文献No.375879
标题:Synthesis and biological activity of 4-amino-5-chloro-2-ethoxy-3-hydroxybenzamides, metabolites of a new gastroprokinetic agent, mosapride
作者:Kato, S.; Morie, T.; Yoshida, N.
来源:Chem Pharm Bull 1996,44(8),1484
合成路线图解说明:

Two minor metabolites of mosapride 4-amino-5-chloro-2-ethoxy-3-hydroxy-N-(5-oxo-2-morpholinylmethyl)benzamide (A) and 4-amino-5-chloro-2-ethoxy-3-hydroxy-N-(2-morpholinylmethyl)benzamide (B) have been synthesized as follows: 1) The alkylation of 2,3-dihydroxybenzaldehyde (I) with NaH and ethyl iodide in DMSO gives 2-ethoxy-3-hydroxybenzaldehyde (II), which is nitrated with HNO3 in acetic acid yielding 2-ethoxy-3-hydroxy-4-nitrobenzaldehyde (III). The oxidation of (III) with AgNO3 in methanol/water affords the expected benzoic acid (IV), which is condensed with 2-(aminomethyl)morpholin-5-one (V) by means of carbonyldiimidazole (CDI) in THF giving the corresponding benzamide (VI). The hydrogenation of the nitro group of (VI) with H2 over Pd/C in aqueous ethanol yields 4-amino-2-ethoxy-3-hydroxy-N-(5-oxo-2-morpholinylmethyl)benzamide (VII), which is finally chlorinated to the metabolite (A) with N-chlorosuccinimide in hot DMF. 2) The reaction of the benzoic acid (IV) with SOCl2 in refluxing dichloromethane gives the corresponding acyl chloride (VIII), which is condensed with 2-(aminomethyl)-4-(4-fluorobenzyl)morpholine (IX) by means of triethylamine in dichloromethane to yield the expected amide (X). The debenzylation of (X) with 1-chloroethyl chloroformate (ACE-Cl) and reprotection with di-tert-butyl carbonate affords N-[4-(tert-butoxycarbonyl)morpholin-2-ylmethyl]-2-ethoxy-3-hydroxy-4-nitrobenzamide (XI), which is submitted to a reductive acetylation (H2 over Pd/C in acetic anhydride) giving 4-acetamido-N-[4-(tert-butoxycarbonyl)morpholin-2-ylmethyl]-2-ethoxy-3-hydroxybenzamide (XII). The chlorination of (XII) with N-chlorosuccinimide (NCS) in chloroform/DMS yields the corresponding 5-chlorobenzamide (XIII), which is finally deprotected with refluxing aqueous HCl to afford metabolite (B).

Drug Information Express,Drug R&D,Chemical Database,Patent Search.
Copyright © 2006-2026 Drug Future. All rights reserved.Contact Us