【药物名称】KRI-1314
化学结构式(Chemical Structure):
参考文献No.7525
标题:7-Acyloxy-6-aminoacyloxypolyoxylabdanes, process for their preparation and their use
作者:Khandewal, Y.; Rajgopalan, R.; Dohadwalla, A.N.; Rupp, R.H.; De Souza, N.J. (Aventis SA)
来源:DE 3623300; EP 0252482; JP 1988023878
合成路线图解说明:

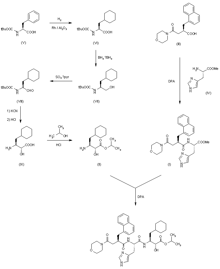
By condensation of N-[3-(morpholinocarbonyl)-2(R)-(1-naphthylmethyl)propionyl-L-histidine methyl ester (I) with isopropyl 3(S)-amino-4-cyclohexyl-2(R)-hydroxybutyrate (II) by means of diphenyl phosphoryl azide (DPA) in DMF. The starting products are prepared as follows: The condensation of 3-(morpholinocarbonyl)-2(R)-(1-naphthylmethyl)propionic acid (III) and histidine methyl ester (IV) by means of DPA in DMF gives the substituted histidine ester (I). The hydrogenation of N-(tert-butoxycarbonyl)-L-phenylalanine (V) with H2 over Rh/Al2O3 gives N-(tert-butoxycarbonyl)-L-cyclohexylalanine (VI), which is reduced with borane to the corresponding alaninol (VII). Controlled oxidation of (VII) with SO3-pyridine in benzene-DMSO affords N-(tert-butoxycarbonyl)-L-cyclohexylalaninal (VIII), which by treatment with KCN followed by hydrolysis with concentrated HCl yields 3-amino-4-cyclohexyl-2-hydroxybutyric acid (IX). Finally, this compound is esterified with isopropanol and hydrochloric acid to the starting ester (II).

参考文献No.77456
标题:KRI-1314
作者:Casta馿r, J.; Prous, J.
来源:Drugs Fut 1988,13(12),1042
合成路线图解说明:

By condensation of N-[3-(morpholinocarbonyl)-2(R)-(1-naphthylmethyl)propionyl-L-histidine methyl ester (I) with isopropyl 3(S)-amino-4-cyclohexyl-2(R)-hydroxybutyrate (II) by means of diphenyl phosphoryl azide (DPA) in DMF. The starting products are prepared as follows: The condensation of 3-(morpholinocarbonyl)-2(R)-(1-naphthylmethyl)propionic acid (III) and histidine methyl ester (IV) by means of DPA in DMF gives the substituted histidine ester (I). The hydrogenation of N-(tert-butoxycarbonyl)-L-phenylalanine (V) with H2 over Rh/Al2O3 gives N-(tert-butoxycarbonyl)-L-cyclohexylalanine (VI), which is reduced with borane to the corresponding alaninol (VII). Controlled oxidation of (VII) with SO3-pyridine in benzene-DMSO affords N-(tert-butoxycarbonyl)-L-cyclohexylalaninal (VIII), which by treatment with KCN followed by hydrolysis with concentrated HCl yields 3-amino-4-cyclohexyl-2-hydroxybutyric acid (IX). Finally, this compound is esterified with isopropanol and hydrochloric acid to the starting ester (II).

参考文献No.127291
标题:A practical synthesis of an orally potent renin inhibitor, isopropyl (2R,3S)-4-cyclohexyl-2-hydroxy-3-[N-[(2R)-2-morpholinocarbonylmethyl-3-(1-naaphthyl)propionyl]-L-histidyl]aminobutyrate
作者:Harada, H.; Iyobe, A.; Tsubaki, A.; Yamaguchi, T.; Kamijo, T.; Kiso, Y.; Iizuka, K.; Hirata, K.
来源:J Chem Soc - Perkins Trans I 1990,92497-500
合成路线图解说明:

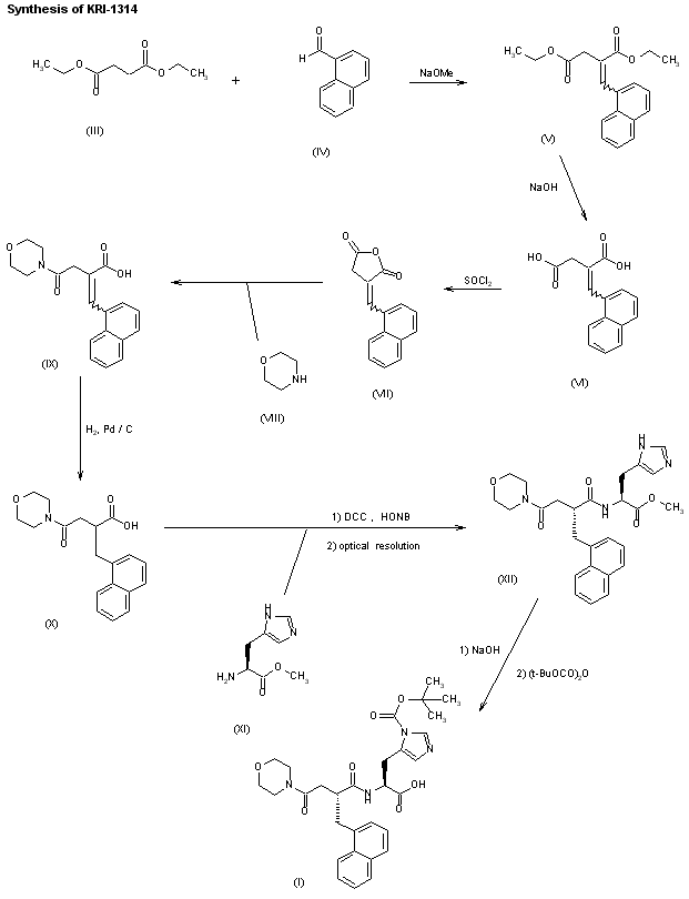
1) Synthesis of N(tau)-tert-butoxycarbonyl-N(alpha)-[2(R)-(morpholinocarbonylmethyl)-3-(1-naphthyl)propionyl]histidine: The condensation of diethyl succinate (III) with 1-naphthaldehyde (IV) by means of sodium ethoxide in refluxing methanol gives 2-(1-naphthylmethylene)succinic acid diethyl ester (V), which is hydrolyzed to the corresponding acid (VI) with NaOH. The cyclization of (VI) with refluxing SOCl2 affords the anhydride (VII), which is treated with morpholine (VIII) in ethyl acetate, yielding 2-(morpholinocarbonylmethyl)-3-(1-naphthyl)acrylic acid (IX). Hydrogenation of (IX) with H2 over Pd/C in methanol affords the corresponding propionic acid (X), which is then condensed with histidine methyl ester (XI) by means of DCC and HONB as before, giving a racemic mixture that is submitted to optical resolution by repeated crystallization of its salycylic acid salt, thus yielding N-[2(R)-(morpholinocarbonylmethyl)-3-(1-naphthyl)propionyl]histidine methyl ester (XII). Finally, this compound is hydrolyzed with NaOH and protected with tert-butoxycarbonyl anhydride to give (I).

合成路线图解说明:

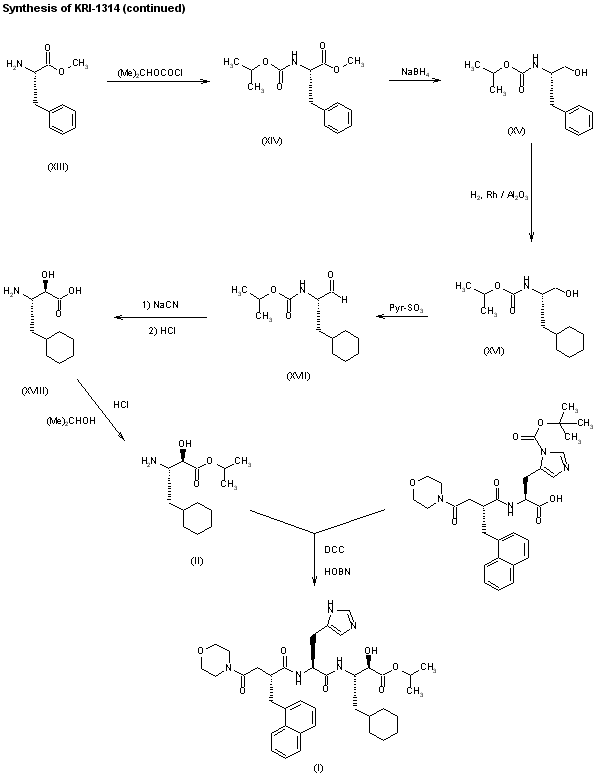
2) Synthesis of (2R,3S)-3-amino-4-cyclohexyl-2-hydroxybutyric acid isopropyl ester (II): Phenylalanine methyl ester (XIII) is protected with isopropyl chloroformate and triethylamine in THF to give N-(isopropoxycarbonyl)phenylalanine methyl ester (XIV), which is reduced with NaBH4 - LiCl in THF - ethanol, yielding N-(isopropoxycarbonyl)phenylalaninol (XV). The hydrogenation of (XV) with H2 over Rh/Al2O3 in methanol affords N-(isopropoxycarbonyl)cyclohexylalaninol (XVI), which is oxidized with pyridine - SO3 in DMSO to the corresponding aldehyde (XVII). The reaction of (XVII) with NaCN - HCl in CHCl3 - water affords (2R,3S)-3-amino-4-cyclohexyl-2-hydroxybutyric acid (XVIII), which is finally esterified with isopropanol - HCl to give (II). 3) Synthesis of KRY-1314: By condensation of N(tau)-tert-butoxycarbonyl-N(alpha)-[2(R)-(morpholinocarbonylmethyl)-3-(1-naphthyl)propionyl]histidine (I) with (2R,3S)-3-amino-4-cyclohexyl-2-hydroxybutyric acid isopropyl ester (II) by means of dicyclohexylcarbodiimide (DCC) and N-hydroxy-5-norbornene-2,3-dicarboximide (HONB) in acetonitrile - triethylamine.

参考文献No.803794
标题:
作者:
来源:108th Annu Meet Pharm Soc Jpn (April 4-7, Hiroshima) 1988,Abst 5e06 11-3
合成路线图解说明:

By condensation of N-[3-(morpholinocarbonyl)-2(R)-(1-naphthylmethyl)propionyl-L-histidine methyl ester (I) with isopropyl 3(S)-amino-4-cyclohexyl-2(R)-hydroxybutyrate (II) by means of diphenyl phosphoryl azide (DPA) in DMF. The starting products are prepared as follows: The condensation of 3-(morpholinocarbonyl)-2(R)-(1-naphthylmethyl)propionic acid (III) and histidine methyl ester (IV) by means of DPA in DMF gives the substituted histidine ester (I). The hydrogenation of N-(tert-butoxycarbonyl)-L-phenylalanine (V) with H2 over Rh/Al2O3 gives N-(tert-butoxycarbonyl)-L-cyclohexylalanine (VI), which is reduced with borane to the corresponding alaninol (VII). Controlled oxidation of (VII) with SO3-pyridine in benzene-DMSO affords N-(tert-butoxycarbonyl)-L-cyclohexylalaninal (VIII), which by treatment with KCN followed by hydrolysis with concentrated HCl yields 3-amino-4-cyclohexyl-2-hydroxybutyric acid (IX). Finally, this compound is esterified with isopropanol and hydrochloric acid to the starting ester (II).

Drug Information Express,Drug R&D,Chemical Database,Patent Search.
Copyright © 2006-2026 Drug Future. All rights reserved.Contact Us