【药物名称】A-62824
化学结构式(Chemical Structure):
参考文献No.191404
标题:Comparison of metabolism and toxicity to the structure of the anticancer agent sulofenur and related sulfonylureas
作者:Woodland, J.M.; Todd, G.C.; Bewley, J.R.; Howbert, J.J.; Ehlhardt, W.J.; Grindey, G.B.; Worzalla, J.F.; Toth, J.E.
来源:Chem Res Toxicol 1992,5(5),667
合成路线图解说明:

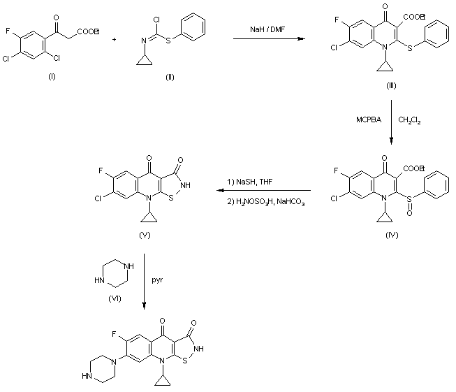
The cyclization of 2-(2,4-dichloro-5-fluorobenzoyl)acetic acid ethyl ester (I) with S-phenyl(cyclopropylimino)chlorothioformate (II) by means of NaH in DMF gives 7-chloro-1-cyclopropyl-6-fluoro-4-oxo-2-(phenylsulfanyl)-1,4-dihydroquinoline-3-carboxylic acid ethyl ester (III), which is oxidized with MCPBA in dichloromethane, yielding the sulfinyl derivative (IV). The cyclization of (IV) with NaSH and hydroxylamine-O-sulfonic acid in THF affords the isothiazoloquinoline (V), which is finally condensed with piperazine in pyridine to furnish the target compound.

参考文献No.803874
标题:Sulfonylurea signal transduction
作者:Aquilar-Bryan, L.; Bryan, J.; Boyd, A.E. III; et al.
来源:Recent Prog Horm Res 1991,47299-317
合成路线图解说明:

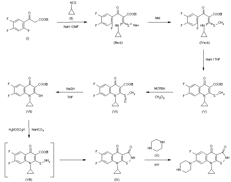
The condensation of 2-(2,4,5-trifluorobenzoyl)acetic acid ethyl ester (I) with cyclopropyl isothiocyanate (II) by means of NaH in DMF gives the sodium salt (IIIa-b), which is methylated with methyl iodide to afford the methylsulfanyl derivative (IVa-b). The cyclization of (IVa-b) by means of NaH in THF provides the methylsulfanyl quinolone (V), which is oxidized with MCPBA to the corresponding methylsulfinyl compound (VI). The reaction of (VI) with NaSH in THF furnishes 1-cyclopropyl-6,7-difluoro-4-oxo-2-sulfanyl-1,4-dihydroquinoline-3-carboxylic acid ethyl ester (VII), which is cyclized with hydroxylamine-O-sulfonic acid and NaHCO3 through the intermediate (VIII), affording the isothiazoloquinoline (IX). Finally, this compound is condensed with piperazine (X) in pyridine to give the target compound.

合成路线图解说明:

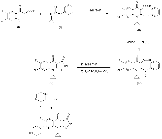
The cyclization of 3-(2,6-dichloro-5-fluoropyridin-3-yl)-3-oxopropionic acid ethyl ester (I) with S-phenyl(cyclopropylimino)chlorothioformate (II) by means of NaH in DMF gives 7-chloro-1-cyclopropyl-6-fluoro-4-oxo-2-(phenylsulfanyl)-1,4-dihydro-1,8-naphthyridine-3-carboxylic acid ethyl ester (III), which is oxidized with MCPBA in dichloromethane, yielding the sulfinyl derivative (IV). The cyclization of (IV) with NaSH and hydroxylamine-O-sulfonic acid in THF affords the isothiazolonaphthyridine (V), which is finally condensed with piperazine in pyridine to furnish the target compound.

合成路线图解说明:

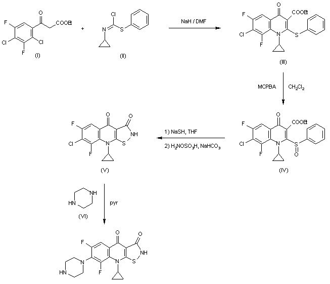
The cyclization of 2-(2,4-dichloro-3,5-difluorobenzoyl)acetic acid ethyl ester (I) with S-phenyl(cyclopropylimino)chlorothioformate (II) by means of NaH in DMF gives 7-chloro-1-cyclopropyl-6,8-difluoro-4-oxo-2-(phenylsulfanyl)-1,4-dihydroquinoline-3-carboxylic acid ethyl ester (III), which is oxidized with MCPBA in dichloromethane, yielding the sulfinyl derivative (IV). The cyclization of (IV) with NaSH and hydroxylamine-O-sulfonic acid in THF affords the isothiazoloquinoline (V), which is finally condensed with piperazine in pyridine to furnish the target compound.

参考文献No.803875
标题:Isothiazoloquinolones: Antibacterial and antineoplastic agents
作者:Chu, D.T.W.
来源:Drugs Fut 1992,17(12),1101
合成路线图解说明:

The cyclization of 2-(2,4-dichloro-5-fluorobenzoyl)acetic acid ethyl ester (I) with S-phenyl(cyclopropylimino)chlorothioformate (II) by means of NaH in DMF gives 7-chloro-1-cyclopropyl-6-fluoro-4-oxo-2-(phenylsulfanyl)-1,4-dihydroquinoline-3-carboxylic acid ethyl ester (III), which is oxidized with MCPBA in dichloromethane, yielding the sulfinyl derivative (IV). The cyclization of (IV) with NaSH and hydroxylamine-O-sulfonic acid in THF affords the isothiazoloquinoline (V), which is finally condensed with piperazine in pyridine to furnish the target compound.

合成路线图解说明:

The condensation of 2-(2,4,5-trifluorobenzoyl)acetic acid ethyl ester (I) with cyclopropyl isothiocyanate (II) by means of NaH in DMF gives the sodium salt (IIIa-b), which is methylated with methyl iodide to afford the methylsulfanyl derivative (IVa-b). The cyclization of (IVa-b) by means of NaH in THF provides the methylsulfanyl quinolone (V), which is oxidized with MCPBA to the corresponding methylsulfinyl compound (VI). The reaction of (VI) with NaSH in THF furnishes 1-cyclopropyl-6,7-difluoro-4-oxo-2-sulfanyl-1,4-dihydroquinoline-3-carboxylic acid ethyl ester (VII), which is cyclized with hydroxylamine-O-sulfonic acid and NaHCO3 through the intermediate (VIII), affording the isothiazoloquinoline (IX). Finally, this compound is condensed with piperazine (X) in pyridine to give the target compound.

合成路线图解说明:

The cyclization of 3-(2,6-dichloro-5-fluoropyridin-3-yl)-3-oxopropionic acid ethyl ester (I) with S-phenyl(cyclopropylimino)chlorothioformate (II) by means of NaH in DMF gives 7-chloro-1-cyclopropyl-6-fluoro-4-oxo-2-(phenylsulfanyl)-1,4-dihydro-1,8-naphthyridine-3-carboxylic acid ethyl ester (III), which is oxidized with MCPBA in dichloromethane, yielding the sulfinyl derivative (IV). The cyclization of (IV) with NaSH and hydroxylamine-O-sulfonic acid in THF affords the isothiazolonaphthyridine (V), which is finally condensed with piperazine in pyridine to furnish the target compound.

合成路线图解说明:

The cyclization of 2-(2,4-dichloro-3,5-difluorobenzoyl)acetic acid ethyl ester (I) with S-phenyl(cyclopropylimino)chlorothioformate (II) by means of NaH in DMF gives 7-chloro-1-cyclopropyl-6,8-difluoro-4-oxo-2-(phenylsulfanyl)-1,4-dihydroquinoline-3-carboxylic acid ethyl ester (III), which is oxidized with MCPBA in dichloromethane, yielding the sulfinyl derivative (IV). The cyclization of (IV) with NaSH and hydroxylamine-O-sulfonic acid in THF affords the isothiazoloquinoline (V), which is finally condensed with piperazine in pyridine to furnish the target compound.

参考文献No.803876
标题:Antineoplastic bicyclic sulfonylureas
作者:Mohamadi, F.; Spees, M.M.; Grindey, G.B.
来源:Bioorg Med Chem Lett 1992,3987-992
合成路线图解说明:

The cyclization of 2-(2,4-dichloro-5-fluorobenzoyl)acetic acid ethyl ester (I) with S-phenyl(cyclopropylimino)chlorothioformate (II) by means of NaH in DMF gives 7-chloro-1-cyclopropyl-6-fluoro-4-oxo-2-(phenylsulfanyl)-1,4-dihydroquinoline-3-carboxylic acid ethyl ester (III), which is oxidized with MCPBA in dichloromethane, yielding the sulfinyl derivative (IV). The cyclization of (IV) with NaSH and hydroxylamine-O-sulfonic acid in THF affords the isothiazoloquinoline (V), which is finally condensed with piperazine in pyridine to furnish the target compound.

Drug Information Express,Drug R&D,Chemical Database,Patent Search.
Copyright © 2006-2026 Drug Future. All rights reserved.Contact Us