【药物名称】Technetium (99mTc) sestamibi, MIBI-[99mTc], [99mTc]-MIBI, Tc-MIBI, RP-30, Miraluma, Cardiolite
化学结构式(Chemical Structure):
参考文献No.6764
标题:Ether isonitriles and radilabeled complexes thereof
作者:Bergstein, P.L.; Subramanyam, V. (E.I. Du Pont de Nemours & Co.)
来源:AU 8666842; EP 0233368; JP 87201363
合成路线图解说明:

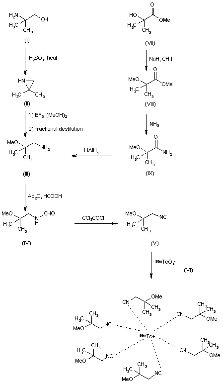
This compound can be prepared by two different ways: 1) The dehydration of 2-amino-2-methylpropranol (I) with H2SO4 at 170-200 C gives 2,2-dimethylazirine (II), which by reaction with methanol by means of boron trifluoride - methanol complex and fractional distillation affords 2-methoxy-2-methylpropylamine (III). The reaction of (III) with formic acid in acetic anhydride yields N-(2-methoxy-2-methylpropyl)formamide (IV), which by reaction with diphosgene (trichloromethyl chloroformate) and triethylamine in dichloromethane gives 2-methoxy-2-methylpropylisonitrile (MIBI) (V). Finally, this compound or its CuBF4 complex Cu(MIBI)4BF4 is treated with 99mTcO4 (VI) and sodium dithionite or formamide sulfinic acid respectively, in ethanol - water. 2) The methylation of methyl 2-hydroxyisobutylrate (VII) with NaH - methyl iodide in DMF - THF gives methyl 2-methoxy-2-methylpropanoate (VIII), which by reaction with ammonia is converted to the corresponding amide (IX). Finally, this compound is reduced with LiAlH4 in THF yielding the amine (III), already obtained.

参考文献No.96719
标题:Myocardial kinetics of technetium-99m-hexakis-2-methoxy-2-methylpropyl-isonitrile
作者:Williams, S.; Okada, R.D.; Gaffney, T.; Glover, D.
来源:Circulation 1988,77491
合成路线图解说明:

This compound can be prepared by two different ways: 1) The dehydration of 2-amino-2-methylpropranol (I) with H2SO4 at 170-200 C gives 2,2-dimethylazirine (II), which by reaction with methanol by means of boron trifluoride - methanol complex and fractional distillation affords 2-methoxy-2-methylpropylamine (III). The reaction of (III) with formic acid in acetic anhydride yields N-(2-methoxy-2-methylpropyl)formamide (IV), which by reaction with diphosgene (trichloromethyl chloroformate) and triethylamine in dichloromethane gives 2-methoxy-2-methylpropylisonitrile (MIBI) (V). Finally, this compound or its CuBF4 complex Cu(MIBI)4BF4 is treated with 99mTcO4 (VI) and sodium dithionite or formamide sulfinic acid respectively, in ethanol - water. 2) The methylation of methyl 2-hydroxyisobutylrate (VII) with NaH - methyl iodide in DMF - THF gives methyl 2-methoxy-2-methylpropanoate (VIII), which by reaction with ammonia is converted to the corresponding amide (IX). Finally, this compound is reduced with LiAlH4 in THF yielding the amine (III), already obtained.

参考文献No.109646
标题:TECHNETIUM [(99m)Tc] SESTAMIBI < Prop INN; BAN >
作者:Carrell, S.A.; Robinson, C.P.; Prous, J.; Casta馿r, J.
来源:Drugs Fut 1989,14(12),1169
合成路线图解说明:

This compound can be prepared by two different ways: 1) The dehydration of 2-amino-2-methylpropranol (I) with H2SO4 at 170-200 C gives 2,2-dimethylazirine (II), which by reaction with methanol by means of boron trifluoride - methanol complex and fractional distillation affords 2-methoxy-2-methylpropylamine (III). The reaction of (III) with formic acid in acetic anhydride yields N-(2-methoxy-2-methylpropyl)formamide (IV), which by reaction with diphosgene (trichloromethyl chloroformate) and triethylamine in dichloromethane gives 2-methoxy-2-methylpropylisonitrile (MIBI) (V). Finally, this compound or its CuBF4 complex Cu(MIBI)4BF4 is treated with 99mTcO4 (VI) and sodium dithionite or formamide sulfinic acid respectively, in ethanol - water. 2) The methylation of methyl 2-hydroxyisobutylrate (VII) with NaH - methyl iodide in DMF - THF gives methyl 2-methoxy-2-methylpropanoate (VIII), which by reaction with ammonia is converted to the corresponding amide (IX). Finally, this compound is reduced with LiAlH4 in THF yielding the amine (III), already obtained.

Drug Information Express,Drug R&D,Chemical Database,Patent Search.
Copyright © 2006-2026 Drug Future. All rights reserved.Contact Us