【药物名称】Tacedinaline, Acetyldinaline, CI-994, Goe-5549, PD-123654
化学结构式(Chemical Structure):
参考文献No.7182
标题:N-(2'-Aminophenyl)-benzamide derivs., process for their preparation and their use in the treatment of neoplastic diseases
作者:Weiershausen, U.; Satzinger, G.; Vollmer, K.-O.; Herrmann, W. (G鰀ecke AG)
来源:AU 8771790; DE 3613571; DE 3625359; EP 0242851; JP 1988115852; US 5137918
合成路线图解说明:

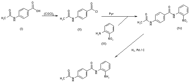
The reaction of 4-(acetamido)benzoic acid (I) with oxalyl chloride in DMF gives 4-(acetamido)benzoyl chloride (II), which is condensed with 2-nitroaniline (III) by means of pyridine in ethyl acetate yielding 4-(acetamido)-N-(2-nitrophenyl)benzamide (IV). Finally, the nitro group of (IV) is reduced with H2 over Pd/C in THF.

参考文献No.433798
标题:CI-994
作者:Graul, A.; Leeson, P.; Casta馿r, J.
来源:Drugs Fut 1997,22(11),1201
合成路线图解说明:

The reaction of 4-(acetamido)benzoic acid (I) with oxalyl chloride in DMF gives 4-(acetamido)benzoyl chloride (II), which is condensed with 2-nitroaniline (III) by means of pyridine in ethyl acetate yielding 4-(acetamido)-N-(2-nitrophenyl)benzamide (IV). Finally, the nitro group of (IV) is reduced with H2 over Pd/C in THF.

参考文献No.800027
标题:Novel N-(2'Aminophenyl)-benzamide derivs. And pharmaceutical compsns. containing them
作者:(G鰀ecke AG)
来源:AT 388913
合成路线图解说明:

The reaction of 4-(acetamido)benzoic acid (I) with oxalyl chloride in DMF gives 4-(acetamido)benzoyl chloride (II), which is condensed with 2-nitroaniline (III) by means of pyridine in ethyl acetate yielding 4-(acetamido)-N-(2-nitrophenyl)benzamide (IV). Finally, the nitro group of (IV) is reduced with H2 over Pd/C in THF.

Drug Information Express,Drug R&D,Chemical Database,Patent Search.
Copyright © 2006-2026 Drug Future. All rights reserved.Contact Us