【药物名称】Atenolol, ICI-66082, Blokium, Tenormin
化学结构式(Chemical Structure):
参考文献No.567277
标题:A synthesis of atenolol using a nitrile hydration catalyst
作者:Akisanya, J.; et al.
来源:Org Process Res Dev 1998,2(4),274
合成路线图解说明:

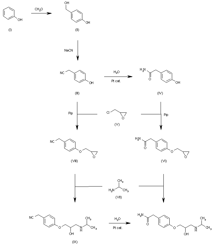
This compound has been obtained by two related ways: 1) The reaction of phenol (I) with formaldehyde gives 4-(hydroxymethyl)phenol (II), which is treated with NaCN in hot DMF to yield 2-(4-hydroxyphenyl)acetonitrile (III). The hydrolysis of (III) in refluxing ethanol/water, catalyzed by a Pt catalyst affords the corresponding acetamide (IV), which is condensed with an excess of hot epichlorohydrin (V) by means of piperidine gives 2-[4-(2-oxiranylmethoxy)phenyl]acetamide (VI). Finally, the oxirane ring of (VI) is opened with isopropylamine in methanol. 2)The condensation of acetonitrile (III) with epichlorohydrin (V) as before gives the 2-[4-(2-oxiranylmethoxy)phenyl]acetonitrile (VIII), which is treated with isopropylamine (VII) in methanol yielding 2-[4-[2-hydroxy-3-(isopropylamino)propoxy]phenyl]acetonitrile (IX). Finally, this compound is hydrolyzed with refluxing ethanol/water catalyzed by a Pt catalyst as before to afford the target acetamide.

参考文献No.800694
标题:Atenolol
作者:Casta馿r, J.
来源:Drugs Fut 1976,1(1),7
合成路线图解说明:

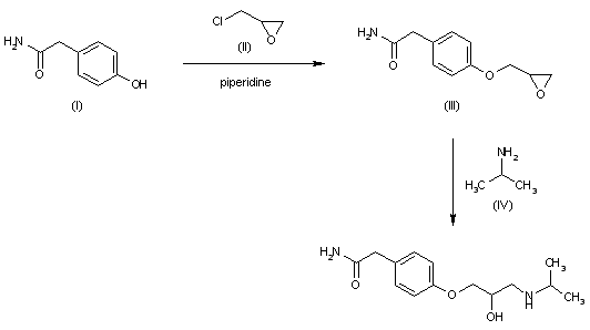
Prepared in two steps by condensation of p-hydroxyphenylacetamide (I) and epichlorhydrine (II) with piperidine as catalyst, giving 1-(p-carbamoylmethylphenoxy)-2,3-epoxypropane (III), m.p. 158-60 C, followed by reaction of the epoxy ring with isopropylamine (IV).

参考文献No.800695
标题:Alkanolaminderivate
作者:Barret, A.; et al.
来源:CH 547257; CH 553747; DE 2007751; ES 376788; FR 2034561
合成路线图解说明:

Prepared in two steps by condensation of p-hydroxyphenylacetamide (I) and epichlorhydrine (II) with piperidine as catalyst, giving 1-(p-carbamoylmethylphenoxy)-2,3-epoxypropane (III), m.p. 158-60 C, followed by reaction of the epoxy ring with isopropylamine (IV).

Drug Information Express,Drug R&D,Chemical Database,Patent Search.
Copyright © 2006-2026 Drug Future. All rights reserved.Contact Us