【药物名称】Gestodene, SH-546, SHB-331
化学结构式(Chemical Structure):
参考文献No.74978
标题:Gestodene
作者:Casta馿r, J.; Blancafort, P.
来源:Drugs Fut 1977,2(12),805
合成路线图解说明:

18-Methyl-4-oestrene-3,17-dione (I) is hydroxylated by fermentation with Penicillium raistrickii giving the 15alpha-hydroxy compound (II), which is ketalized with 2,2-dimethylpropanediol (A), triethyl orthoformate and p-toluenesulfonic acid in CH2Cl2 giving a mixture of the DELTA(5-6) and DELTA(5-10)-ketals (IIIa-b). These ketals are mesylated witn methanesulfonyl chloride in pyridine yielding the mesyl ester (IVa-b), which is treated with sodium acetate in DMF to afford the oestradiene ketal (Va-b). Finally, this compound is treated with ethynylmagnesium bromide (B) and refluxed with oxalic acid (C) in methanol.

合成路线图解说明:

Ketals (IIIa-b) can also be treated with trimethylsilyl chloride in pyridine to give the trimethylsilyl derivative (VIa-b), which is then treated with ethynylmagnesium bromide (B) and oxalic acid (C) in methanol.

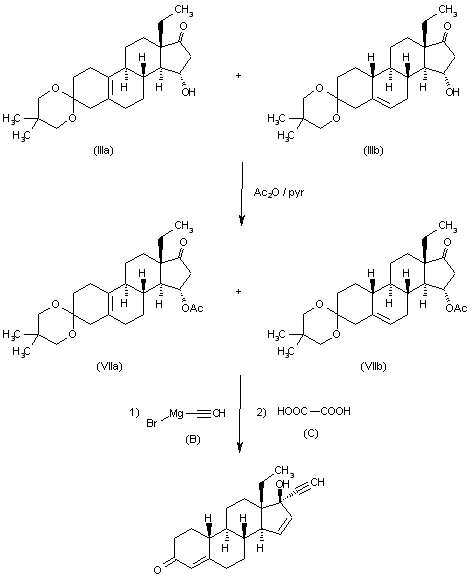
合成路线图解说明:

Ketals (IIIa-b) can also be acetylated with acetic anhydride in pyridine to the acetate (VIIa-b), which is then treated with ethynylmagnesium bromide (B) and oxalic acid (C) in methanol.

参考文献No.701098
标题:Steroids and pharmaceutical compositions thereof
作者:Hofmeister, H.; Wiechert, R.; Annen, K.; Laurent, H.; Steinbeck, H.
来源:BE 0847090; FR 2326927; GB 1569135; JP 52046060; US 4081537
合成路线图解说明:

18-Methyl-4-oestrene-3,17-dione (I) is hydroxylated by fermentation with Penicillium raistrickii giving the 15alpha-hydroxy compound (II), which is ketalized with 2,2-dimethylpropanediol (A), triethyl orthoformate and p-toluenesulfonic acid in CH2Cl2 giving a mixture of the DELTA(5-6) and DELTA(5-10)-ketals (IIIa-b). These ketals are mesylated witn methanesulfonyl chloride in pyridine yielding the mesyl ester (IVa-b), which is treated with sodium acetate in DMF to afford the oestradiene ketal (Va-b). Finally, this compound is treated with ethynylmagnesium bromide (B) and refluxed with oxalic acid (C) in methanol.

合成路线图解说明:

Ketals (IIIa-b) can also be treated with trimethylsilyl chloride in pyridine to give the trimethylsilyl derivative (VIa-b), which is then treated with ethynylmagnesium bromide (B) and oxalic acid (C) in methanol.

合成路线图解说明:

Ketals (IIIa-b) can also be acetylated with acetic anhydride in pyridine to the acetate (VIIa-b), which is then treated with ethynylmagnesium bromide (B) and oxalic acid (C) in methanol.

Drug Information Express,Drug R&D,Chemical Database,Patent Search.
Copyright © 2006-2026 Drug Future. All rights reserved.Contact Us