【药物名称】Cronidipine, LF-2.0254
化学结构式(Chemical Structure):
参考文献No.7151
标题:Disymetric derivs. of 1,4-dihydropyridine-3,5-dicarboxylic acid, method of preparation and use in therapeutics
作者:Robin, J.; Pruneau, D.; Bellamy, F. (SORI)
来源:EP 0240398; FR 2596760; JP 1988017883; US 4806544
合成路线图解说明:

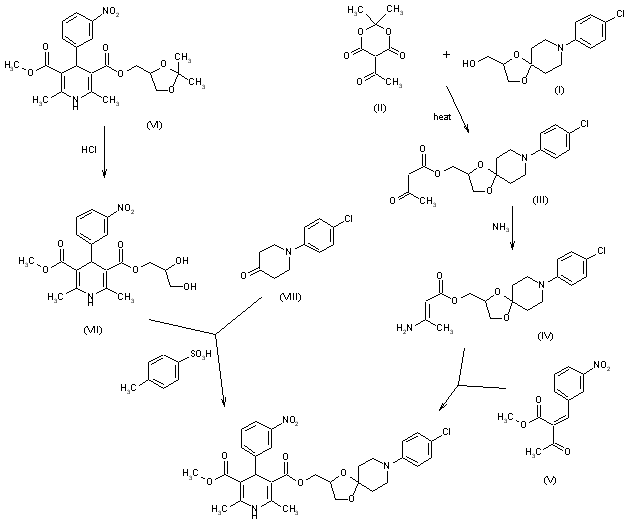
This compound can be obtained in two different ways: 1) The reaction of 8-(4-chlorophenyl)-8-aza-1,4-dioxaspiro[4.5]decane-2-methanol (I) with 5-acetyl-2,2-dimethyl-1,3-dioxane-4,6-dione (acetylated Meldrum's acid, II) in refluxing toluene gives the corresponding acetylacetic ester (III), which by reaction with NH3 in dry dichloromethane is converted into the 3-aminocrotonic ester (IV). Finally, this compound is cyclized with methyl 2-(3-nitrobenzylidene)acetylacetate (V) in refluxing tert-butanol. 2) The partial hydrolysis of 2,6-dimethyl-4-(3-nitrophenyl)-1,4-dihydropyridine-3,5-dicarboxylic acid 3-(2,2-dimethyl-1,3-dioxolan-4-ylmethyl) 5-methyl diester (VI) with HCl 1N in methanol gives the corresponding glycerol ester (VII), which is then spiranized with 1-(4-chlorophenyl)-4-piperidone (VIII) by means of p-toluenesulfonic acid in refluxing methanol.

参考文献No.109008
标题:CRONIDIPINE
作者:Prous, J.; Casta馿r, J.
来源:Drugs Fut 1990,15(4),341
合成路线图解说明:

This compound can be obtained in two different ways: 1) The reaction of 8-(4-chlorophenyl)-8-aza-1,4-dioxaspiro[4.5]decane-2-methanol (I) with 5-acetyl-2,2-dimethyl-1,3-dioxane-4,6-dione (acetylated Meldrum's acid, II) in refluxing toluene gives the corresponding acetylacetic ester (III), which by reaction with NH3 in dry dichloromethane is converted into the 3-aminocrotonic ester (IV). Finally, this compound is cyclized with methyl 2-(3-nitrobenzylidene)acetylacetate (V) in refluxing tert-butanol. 2) The partial hydrolysis of 2,6-dimethyl-4-(3-nitrophenyl)-1,4-dihydropyridine-3,5-dicarboxylic acid 3-(2,2-dimethyl-1,3-dioxolan-4-ylmethyl) 5-methyl diester (VI) with HCl 1N in methanol gives the corresponding glycerol ester (VII), which is then spiranized with 1-(4-chlorophenyl)-4-piperidone (VIII) by means of p-toluenesulfonic acid in refluxing methanol.

Drug Information Express,Drug R&D,Chemical Database,Patent Search.
Copyright © 2006-2026 Drug Future. All rights reserved.Contact Us