【药物名称】Abecarnil, SH-524, ZK-112119
化学结构式(Chemical Structure):
参考文献No.7124
标题:5- or 6-Substd.-beta-carboline-3-carboxylic acid esters
作者:Biere, H.; Huth, A.; Rahtz, D.; Schmiechen, R.; Seidelmann, D.; Kehr, W.; Schneider, H.H.; Engelstoft, M.; Hansen, J.B.; Watjen, F.; Honore, T. (Schering AG)
来源:DE 3609699; EP 0239667; JP 1987221684; US 5414002; US 5700808
合成路线图解说明:

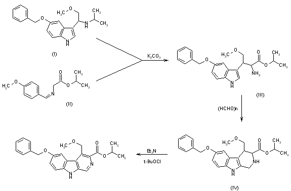
The condensation of 5-benzyloxy-3-[1-(isopropylamino)-2-methoxyethyl]indole (I) with N-(4-methylbenzylidene)glycine isopropyl ester (II) by means of K2CO3 in hot DMF gives 2-amino-3-(5-benzyloxyindol-3-yl)-4-methoxybutyric acid isopropyl ester (III), which is cyclized with paraformaldehyde in refluxing xylene, yielding 6-benzyloxy-4-(methoxymethyl)-1,2,3,4-tetrahydro-9H-pyrido[3,4-b]indole - 3-carboxylic acid isopropyl ester (IV). Finally, this compound is dehydrogenated with tert-butyl hypochlorite and triethylamine in dichloromethane.

参考文献No.208482
标题:Abecarnil
作者:Casta馿r, J.; Pento, J.T.
来源:Drugs Fut 1993,18(5),411
合成路线图解说明:

The condensation of 5-benzyloxy-3-[1-(isopropylamino)-2-methoxyethyl]indole (I) with N-(4-methylbenzylidene)glycine isopropyl ester (II) by means of K2CO3 in hot DMF gives 2-amino-3-(5-benzyloxyindol-3-yl)-4-methoxybutyric acid isopropyl ester (III), which is cyclized with paraformaldehyde in refluxing xylene, yielding 6-benzyloxy-4-(methoxymethyl)-1,2,3,4-tetrahydro-9H-pyrido[3,4-b]indole - 3-carboxylic acid isopropyl ester (IV). Finally, this compound is dehydrogenated with tert-butyl hypochlorite and triethylamine in dichloromethane.

Drug Information Express,Drug R&D,Chemical Database,Patent Search.
Copyright © 2006-2026 Drug Future. All rights reserved.Contact Us