【药物名称】ICI-195739
化学结构式(Chemical Structure):
参考文献No.9841
标题:Antifungal azole cpds.
作者:Bayles, F.T.; Boyle, F.T.; Gravestock, M.B.; Wardleworth, J.M. (AstraZeneca plc)
来源:EP 0174769; US 4925863
合成路线图解说明:

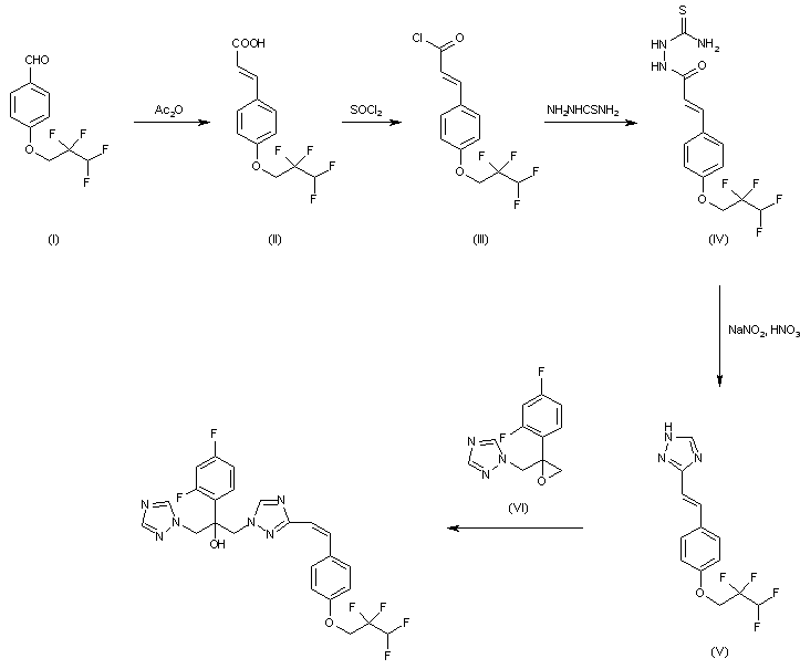
The condensation of 4-(2,2,3,3-tetrafluoropropoxy)benzaldehyde (I) with refluxing acetic anhydride gives 3-[4-(2,2,3,3-tetrafluoropropoxy) phenyl]acrylic acid (II), which is treated with refluxing SOCl2 to yield the corresponding acid chloride (III). The reaction of (III) with thiosemicarbazide in toluene affords 3-[4-(2,2,3,3-tetrafluoropropoxy)phenyl]acryloylthiosemicarbazide (IV), which is cyclized by means of NaNO2 and HNO3 in water to give 3-[4-(2,2,3,3-tetrafluoropropoxy) styryl]-1,2,4-triazole (V). Finally, this compound is condensed with 2-(2,4-difluorophenyl)-3-(1,2,4-triazol-1-yl)-1,2-epoxypropane (VI) by means of NaH in hot DMF.

参考文献No.62984
标题:ICI-195739
作者:Prous, J.; Casta馿r, J.
来源:Drugs Fut 1988,13(5),408
合成路线图解说明:

The condensation of 4-(2,2,3,3-tetrafluoropropoxy)benzaldehyde (I) with refluxing acetic anhydride gives 3-[4-(2,2,3,3-tetrafluoropropoxy) phenyl]acrylic acid (II), which is treated with refluxing SOCl2 to yield the corresponding acid chloride (III). The reaction of (III) with thiosemicarbazide in toluene affords 3-[4-(2,2,3,3-tetrafluoropropoxy)phenyl]acryloylthiosemicarbazide (IV), which is cyclized by means of NaNO2 and HNO3 in water to give 3-[4-(2,2,3,3-tetrafluoropropoxy) styryl]-1,2,4-triazole (V). Finally, this compound is condensed with 2-(2,4-difluorophenyl)-3-(1,2,4-triazol-1-yl)-1,2-epoxypropane (VI) by means of NaH in hot DMF.

Drug Information Express,Drug R&D,Chemical Database,Patent Search.
Copyright © 2006-2026 Drug Future. All rights reserved.Contact Us