【药物名称】Alovudine, MIV-310, CL-184824, FddThd, FLT, 3'F-TdR
化学结构式(Chemical Structure):
参考文献No.10684
标题:2,3-Dideoxy-3'-fluorothymidine and related cpds. for the treatment of adenovirus infections
作者:Selway, J.W.T.; Beacham III, L.M.; Daluge, S.M.; Tuttle, J.V.; Krenitsky, T.A. (Glaxo Wellcome plc)
来源:AU 8821429; EP 0305117; EP 0479336; JP 1989068325; US 5070078
合成路线图解说明:

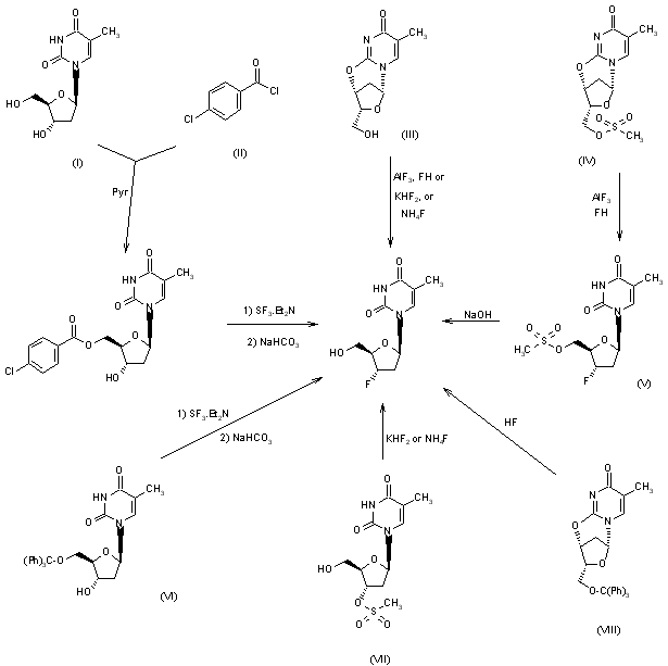
Alovudine can be obtained by several related ways: 1) The acylation of thymidine (I) with 4-chlorobenzoylchloride (II) in pyridine gives 5'-O-(4-chlorobenzoyl)thymidine (IX), which is then treated with diethylamino sulfur trifluoride in methylene chloride at -79 C, and finally with NaHCO3 in refluxing methanol. 2) By reaction of 2,3'-anhydro-1-(2'-deoxy-beta-D-xylofuranosyl)thymine (III) with AlF3 and 1% HF in anhydrous dioxan at 150-7 C. 3) By reaction of (III) with KHF2 or NH4F in diethylene glycol at 190C, or in ethanol at 150 C. 4) The reaction of 2,3'-anhydro-5'-O-(methylsufonyl)-1-(2'-deoxy-beta-D-xylofuranosyl) thymine (IV) with AlF3 and HF as before gives 3'-deoxy-3'-fluoro-5'-O-(methylsulfonyl)thymidine (V), which is then treated with NaOH in refluxing ethanol. 5) By reaction of 5'-O-(triphenylmethyl)thymidine (VI) with diethylamino sulfur trifluoride in THF, and then with aqueous, NaHCO3. 6) By reaction of 3'-O-(methylsulfonyl)thymidine (VII) with KHF2 or NH4F in diethylene glycol at 190 C. 7) By reaction of 2,3'-anhydro-5'-O-(triphenylmethyl)-1-(2'-deoxy-beta-D-xylofuranosyl) thymine (VIII) with 4-6% HF in anhydrous dioxan at 90 C.

参考文献No.22977
标题:Cytostatically-active 2',3'-didesoxy-3'-fluoropyrimidine nucleosides
作者:Etzold, G.; Hintsche, R.; Langen, P. (Akademie der Wissenschaften der DDR)
来源:GB 1189973
合成路线图解说明:

Alovudine can be obtained by several related ways: 1) The acylation of thymidine (I) with 4-chlorobenzoylchloride (II) in pyridine gives 5'-O-(4-chlorobenzoyl)thymidine (IX), which is then treated with diethylamino sulfur trifluoride in methylene chloride at -79 C, and finally with NaHCO3 in refluxing methanol. 2) By reaction of 2,3'-anhydro-1-(2'-deoxy-beta-D-xylofuranosyl)thymine (III) with AlF3 and 1% HF in anhydrous dioxan at 150-7 C. 3) By reaction of (III) with KHF2 or NH4F in diethylene glycol at 190C, or in ethanol at 150 C. 4) The reaction of 2,3'-anhydro-5'-O-(methylsufonyl)-1-(2'-deoxy-beta-D-xylofuranosyl) thymine (IV) with AlF3 and HF as before gives 3'-deoxy-3'-fluoro-5'-O-(methylsulfonyl)thymidine (V), which is then treated with NaOH in refluxing ethanol. 5) By reaction of 5'-O-(triphenylmethyl)thymidine (VI) with diethylamino sulfur trifluoride in THF, and then with aqueous, NaHCO3. 6) By reaction of 3'-O-(methylsulfonyl)thymidine (VII) with KHF2 or NH4F in diethylene glycol at 190 C. 7) By reaction of 2,3'-anhydro-5'-O-(triphenylmethyl)-1-(2'-deoxy-beta-D-xylofuranosyl) thymine (VIII) with 4-6% HF in anhydrous dioxan at 90 C.

参考文献No.238582
标题:Alovudine
作者:Casta馿r, J.; Hoshi, A.
来源:Drugs Fut 1994,19(3),221
合成路线图解说明:

Alovudine can be obtained by several related ways: 1) The acylation of thymidine (I) with 4-chlorobenzoylchloride (II) in pyridine gives 5'-O-(4-chlorobenzoyl)thymidine (IX), which is then treated with diethylamino sulfur trifluoride in methylene chloride at -79 C, and finally with NaHCO3 in refluxing methanol. 2) By reaction of 2,3'-anhydro-1-(2'-deoxy-beta-D-xylofuranosyl)thymine (III) with AlF3 and 1% HF in anhydrous dioxan at 150-7 C. 3) By reaction of (III) with KHF2 or NH4F in diethylene glycol at 190C, or in ethanol at 150 C. 4) The reaction of 2,3'-anhydro-5'-O-(methylsufonyl)-1-(2'-deoxy-beta-D-xylofuranosyl) thymine (IV) with AlF3 and HF as before gives 3'-deoxy-3'-fluoro-5'-O-(methylsulfonyl)thymidine (V), which is then treated with NaOH in refluxing ethanol. 5) By reaction of 5'-O-(triphenylmethyl)thymidine (VI) with diethylamino sulfur trifluoride in THF, and then with aqueous, NaHCO3. 6) By reaction of 3'-O-(methylsulfonyl)thymidine (VII) with KHF2 or NH4F in diethylene glycol at 190 C. 7) By reaction of 2,3'-anhydro-5'-O-(triphenylmethyl)-1-(2'-deoxy-beta-D-xylofuranosyl) thymine (VIII) with 4-6% HF in anhydrous dioxan at 90 C.

参考文献No.241569
标题:Synthesis and reactivity of 3'-fluoro and 3'-chloro-3'-desoxy-thymidine
作者:Kowollik, G.; Etzold, G.; Hintsche, R.; Langen, P.
来源:Tetrahedron 1971,272463-72
合成路线图解说明:

Alovudine can be obtained by several related ways: 1) The acylation of thymidine (I) with 4-chlorobenzoylchloride (II) in pyridine gives 5'-O-(4-chlorobenzoyl)thymidine (IX), which is then treated with diethylamino sulfur trifluoride in methylene chloride at -79 C, and finally with NaHCO3 in refluxing methanol. 2) By reaction of 2,3'-anhydro-1-(2'-deoxy-beta-D-xylofuranosyl)thymine (III) with AlF3 and 1% HF in anhydrous dioxan at 150-7 C. 3) By reaction of (III) with KHF2 or NH4F in diethylene glycol at 190C, or in ethanol at 150 C. 4) The reaction of 2,3'-anhydro-5'-O-(methylsufonyl)-1-(2'-deoxy-beta-D-xylofuranosyl) thymine (IV) with AlF3 and HF as before gives 3'-deoxy-3'-fluoro-5'-O-(methylsulfonyl)thymidine (V), which is then treated with NaOH in refluxing ethanol. 5) By reaction of 5'-O-(triphenylmethyl)thymidine (VI) with diethylamino sulfur trifluoride in THF, and then with aqueous, NaHCO3. 6) By reaction of 3'-O-(methylsulfonyl)thymidine (VII) with KHF2 or NH4F in diethylene glycol at 190 C. 7) By reaction of 2,3'-anhydro-5'-O-(triphenylmethyl)-1-(2'-deoxy-beta-D-xylofuranosyl) thymine (VIII) with 4-6% HF in anhydrous dioxan at 90 C.

参考文献No.241573
标题:A novel access to 1-(2,3-didesoxy-3-fluoro-beta-D-ribofuranosyl)-pyrimidines
作者:Langen, P.; Von Janta-Lipinski, M.; Gaertner, K.; Etzold, G.; Von Kowollik, G.
来源:J Prakt Chem 1973,315(5),895-900
合成路线图解说明:

Alovudine can be obtained by several related ways: 1) The acylation of thymidine (I) with 4-chlorobenzoylchloride (II) in pyridine gives 5'-O-(4-chlorobenzoyl)thymidine (IX), which is then treated with diethylamino sulfur trifluoride in methylene chloride at -79 C, and finally with NaHCO3 in refluxing methanol. 2) By reaction of 2,3'-anhydro-1-(2'-deoxy-beta-D-xylofuranosyl)thymine (III) with AlF3 and 1% HF in anhydrous dioxan at 150-7 C. 3) By reaction of (III) with KHF2 or NH4F in diethylene glycol at 190C, or in ethanol at 150 C. 4) The reaction of 2,3'-anhydro-5'-O-(methylsufonyl)-1-(2'-deoxy-beta-D-xylofuranosyl) thymine (IV) with AlF3 and HF as before gives 3'-deoxy-3'-fluoro-5'-O-(methylsulfonyl)thymidine (V), which is then treated with NaOH in refluxing ethanol. 5) By reaction of 5'-O-(triphenylmethyl)thymidine (VI) with diethylamino sulfur trifluoride in THF, and then with aqueous, NaHCO3. 6) By reaction of 3'-O-(methylsulfonyl)thymidine (VII) with KHF2 or NH4F in diethylene glycol at 190 C. 7) By reaction of 2,3'-anhydro-5'-O-(triphenylmethyl)-1-(2'-deoxy-beta-D-xylofuranosyl) thymine (VIII) with 4-6% HF in anhydrous dioxan at 90 C.

参考文献No.241574
标题:3'-Substituted 2',3'-dideoxynucleoside analogues as potential anti-HIV (HTLV-III/LAV) agents
作者:Herdewijn, P.; Balzarini, J.; De Clercq, E.; Pauwels, R.; Baba, M.; Broder, S.; Vanderhaeghe, H.
来源:J Med Chem 1987,30(8),1270-8
合成路线图解说明:

Alovudine can be obtained by several related ways: 1) The acylation of thymidine (I) with 4-chlorobenzoylchloride (II) in pyridine gives 5'-O-(4-chlorobenzoyl)thymidine (IX), which is then treated with diethylamino sulfur trifluoride in methylene chloride at -79 C, and finally with NaHCO3 in refluxing methanol. 2) By reaction of 2,3'-anhydro-1-(2'-deoxy-beta-D-xylofuranosyl)thymine (III) with AlF3 and 1% HF in anhydrous dioxan at 150-7 C. 3) By reaction of (III) with KHF2 or NH4F in diethylene glycol at 190C, or in ethanol at 150 C. 4) The reaction of 2,3'-anhydro-5'-O-(methylsufonyl)-1-(2'-deoxy-beta-D-xylofuranosyl) thymine (IV) with AlF3 and HF as before gives 3'-deoxy-3'-fluoro-5'-O-(methylsulfonyl)thymidine (V), which is then treated with NaOH in refluxing ethanol. 5) By reaction of 5'-O-(triphenylmethyl)thymidine (VI) with diethylamino sulfur trifluoride in THF, and then with aqueous, NaHCO3. 6) By reaction of 3'-O-(methylsulfonyl)thymidine (VII) with KHF2 or NH4F in diethylene glycol at 190 C. 7) By reaction of 2,3'-anhydro-5'-O-(triphenylmethyl)-1-(2'-deoxy-beta-D-xylofuranosyl) thymine (VIII) with 4-6% HF in anhydrous dioxan at 90 C.

合成路线图解说明:

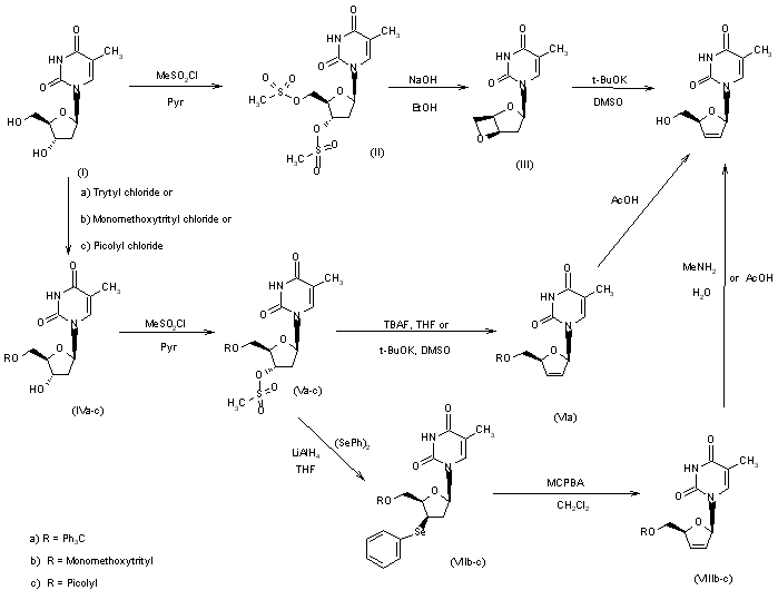
1) The first method ever reported involves the mesylation of thymidine (I) to give dimesylate (II), which is treated with sodium hydroxide in ethanol to yield oxetane (III). Finally, (III) is converted to stavudine by means of potassium tert-butoxide in DMSO. This process has been modified in order to obtain large quantities or to obtain [2-14C]-stavudine starting from [2-14C]-thymidine. 2) A second closely related method, but using a different protecting group strategy, involves tritylation of the primary hydroxyl group of thymidine to give (IVa), which is then mesylated to give (Va). Elimination with TBAF/THF or t-BuOK/DMSO yields compound (VI), which is finally deprotected with acetic acid. 3) A third synthesis starting from thymidine involves its protection with monomethoxytrityl chloride or picolyl chloride to give (IVb) or (IVc), respectively, which are mesylated to give (Vb) or (Vc). These are treated with phenyl diselenide and lithium aluminum hydride in tetrahydrofuran to yield compounds (VIIb) or (VIIc), which are treated with m-chloroperbenzoic acid in dichloromethane to afford (VIIIb) or (VIIIc). Finally, (VIIIb) is deprotected with methylamine in water and (VIIIc) is deprotected with acetic acid.

Drug Information Express,Drug R&D,Chemical Database,Patent Search.
Copyright © 2006-2026 Drug Future. All rights reserved.Contact Us