【药物名称】Ritolukast, Wy-48252
化学结构式(Chemical Structure):
参考文献No.6911
标题:Quinoline compounds as antiallergy and antithrombotic agents
作者:Musser, J.H.; Kubrak, D.M.; Kreft, A.F. (American Home Products Corp.)
来源:EP 0232954; GB 2185741; JP 1987190159; US 4675405
合成路线图解说明:

Alkylation of 3-aminophenol (I) with 2-(chloromethyl)quinoline (A) in a mixture of DMSO and THF employing sodium hydride as the base affords the intermediate amine (II). This amine is reacted with trifluoromethanesulfonic anhydride in toluene employing potassium carbonate as a base to afford ritolukast.

参考文献No.130518
标题:N-[(Arylmethoxy)phenyl] and N-[(arylmethoxy)naphthyl]sulfonamides. Potent orally active leukotriene D4 antagonists of novel structure
作者:Musser, J.H.; Kreft, A.F.; Bender, R.H.W.; Kubrak, D.M.; Carlson, R.P.; Chang, J.; Hand, J.M.
来源:J Med Chem 1989,32(6),1176
合成路线图解说明:

Alkylation of 3-aminophenol (I) with 2-(chloromethyl)quinoline (A) in a mixture of DMSO and THF employing sodium hydride as the base affords the intermediate amine (II). This amine is reacted with trifluoromethanesulfonic anhydride in toluene employing potassium carbonate as a base to afford ritolukast.

参考文献No.147152
标题:RITOLUKAST < USAN >
作者:Kreft, A.; Musser, J.; Daniel, W.C.; Hand, J.
来源:Drugs Fut 1990,15(12),1191
合成路线图解说明:

Alkylation of 3-aminophenol (I) with 2-(chloromethyl)quinoline (A) in a mixture of DMSO and THF employing sodium hydride as the base affords the intermediate amine (II). This amine is reacted with trifluoromethanesulfonic anhydride in toluene employing potassium carbonate as a base to afford ritolukast.

参考文献No.803877
标题:Substituted-[2-quinolynil(bridged)aryl] compounds: modulators of eicosanoid biosynthesis and action
作者:Kreft, A.; Musser, J.
来源:Drugs Fut 1990,15(1),73
合成路线图解说明:

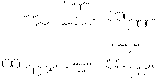
The reaction of 2-(chloromethyl)quinoline (I) with 3-nitrophenol (II) by means of Cs2CO3 in refluxing acetone gives the 3-nitrophenyl ether (III), which is reduced with H2 over Raney-Ni in ethanol to afford the 3-aminophenyl ether (IV). Finally this compound is sulfonated with trifluoromethanesulfonic anhydride and Et3N in dichloromethane.

Drug Information Express,Drug R&D,Chemical Database,Patent Search.
Copyright © 2006-2026 Drug Future. All rights reserved.Contact Us