【药物名称】Zalospirone hydrochloride, Wy-47846
化学结构式(Chemical Structure):
参考文献No.67782
标题:Polycyclic aryl- and heteroarylpiperazyl imides as 5-HT1A receptor ligands and potential anxiolytic agents: synthesis and structure-activity relationship studies
作者:Abou-Gharbia, M.; et al.
来源:J Med Chem 1988,31(7),1382
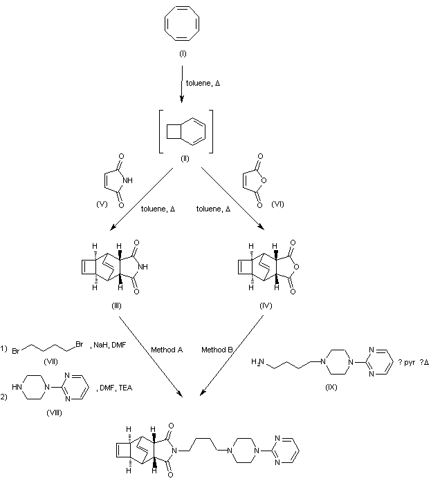
合成路线图解说明:

Reaction of 1,3,5,7-cyclooctatetraene (I) with maleimide (Step a, b), or maleic anhydride (Step c), in refluxing toluene affords the imide (II) or the anhydride (III) in 78 and 85% yields, respectively. Reaction of imide intermediate (II) with 1,4-dibromobutane gives the omega-haloalkylimide, which subsequently is reacted with 1-(2-pyrimidinyl)piperazine to yield Wy-47846 (Method A). Alternatively, Wy-47846 can be prepared via the reaction of (III) with 1-(4-aminobutyl)-4-(2-pyrimidinyl)piperazine in refluxing pyridine (Method B), as shown in scheme. Wy-47846 is achiral.

参考文献No.89821
标题:WY-47846
作者:Abou-Gharbia, M.; Moyer, J.A.; Haskins, J.T.
来源:Drugs Fut 1989,14(5),442
合成路线图解说明:

Reaction of 1,3,5,7-cyclooctatetraene (I) with maleimide (Step a, b), or maleic anhydride (Step c), in refluxing toluene affords the imide (II) or the anhydride (III) in 78 and 85% yields, respectively. Reaction of imide intermediate (II) with 1,4-dibromobutane gives the omega-haloalkylimide, which subsequently is reacted with 1-(2-pyrimidinyl)piperazine to yield Wy-47846 (Method A). Alternatively, Wy-47846 can be prepared via the reaction of (III) with 1-(4-aminobutyl)-4-(2-pyrimidinyl)piperazine in refluxing pyridine (Method B), as shown in scheme. Wy-47846 is achiral.

Drug Information Express,Drug R&D,Chemical Database,Patent Search.
Copyright © 2006-2026 Drug Future. All rights reserved.Contact Us